| Oracle® XML DB Developer's Guide 11g Release 2 (11.2) Part Number E10492-03 |
|
|
View PDF |
You can create indexes on your XML data, to focus on particular parts of it that you query often and thus improve performance. This chapter includes guidelines for doing this. It describes various ways that you can index XMLType data, whether schema-based or non-schema-based, and regardless of the XMLType storage model you use (binary XML, unstructured, hybrid, or structured).
This chapter contains these topics:
Note:
The execution plans shown here are for illustration only. If you run the examples presented here in your environment your execution plans might not be identical.See Also:
Oracle Database Concepts for an overview of indexing
Oracle Database Advanced Application Developer's Guide for information about using indexes in application development
Table 6-1 identifies the documentation for some basic user tasks involving indexes for XML data.
Table 6-1 Basic XML Indexing Tasks
| For information about how to... | See... |
|---|---|
|
Index |
"Indexing XMLType Data Stored Object-Relationally", "Guideline: Create indexes on ordered collection tables" |
|
Create, drop, or rename an |
|
|
Create an |
|
|
Obtain the name of an |
|
|
Determine whether a given |
|
|
Turn off use of an |
Table 6-2 identifies the documentation for some user tasks involving XMLIndex indexes that have a structured component.
Table 6-2 Tasks Involving XMLIndex Indexes with a Structured Component
| For information about how to... | See... |
|---|---|
|
Create an |
|
|
Drop the structured component of an |
|
|
Ensure data type correspondence between a query and an |
"Data Type Considerations for XMLIndex Structured Component" |
|
Create a B-tree index on a content table of an |
|
|
Create an Oracle Text |
Table 6-3 identifies the documentation for some user tasks involving XMLIndex indexes that have an unstructured component.
Table 6-3 Tasks Involving XMLIndex Indexes with an Unstructured Component
| For information about how to... | See... |
|---|---|
|
Create an |
Example 6-9, Example 6-11, Example 6-13, Example 6-33, Example 6-35, Example 6-38, Example 6-39, Example 6-40 |
|
Drop the unstructured component of an |
|
|
Name the path table when creating an |
|
|
Specify storage options when creating an |
|
|
Show all existing secondary indexes on an |
|
|
Obtain the name of a path table for an |
|
|
Obtain the name of an |
|
|
Create a secondary index on an |
|
|
Obtain information about all of the secondary indexes on an |
|
|
Create a function-based index on a path-table |
|
|
Create a numeric index on a path-table |
|
|
Create a date index on a path-table |
|
|
Create an Oracle Text |
|
|
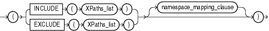
Exclude or include particular XPath expressions from use by an |
"XMLIndex Path Subsetting: Specifying the Paths You Want to Index" |
|
Specify namespace prefixes for XPath expressions used for |
"XMLIndex Path Subsetting: Specifying the Paths You Want to Index" |
|
Exclude or include particular XPath expressions from use by an |
"XMLIndex Path Subsetting: Specifying the Paths You Want to Index" |
|
Specify namespace prefixes for XPath expressions used for |
"XMLIndex Path Subsetting: Specifying the Paths You Want to Index" |
Table 6-4 identifies the documentation for some other user tasks involving XMLIndex indexes.
Table 6-4 Miscellaneous Tasks Involving XMLIndex Indexes
| For information about how to... | See... |
|---|---|
|
Create an |
|
|
Query Oracle XML DB Repository using |
|
|
Specify that an |
|
|
Change the parallelism of an |
|
|
Schedule maintenance for an |
|
|
Manually synchronize an |
|
|
Collect statistics on a table or index for the cost-based optimizer |
|
|
Create an Oracle Text |
|
|
Create an Oracle Text |
|
|
Use an Oracle Text |
|
|
Show whether an Oracle Text |
Database indexes improve performance by providing faster access to table data. The use of indexes is particularly recommended for online transaction processing (OLTP) environments involving few updates.
The principle way you index XML data is using XMLIndex. You can also use Oracle Text CONTEXT indexes to supplement the use of XMLIndex.
You can create indexes on one or more table columns, or on a functional expression. XML data, however, has its own, fine-grained structure, which is not necessarily reflected in the structure of the database tables used to store it. For this reason, effectively indexing XML data can be a bit different from indexing most database data.
For structured XML storage, XML objects such as elements and attributes correspond to object-relational columns and tables, so creating B-tree indexes on those columns and tables provides an excellent way to effectively index the corresponding XML objects. Here, the storage model directly reflects the fine-grained structure of the XML data, so there is no special problem for indexing structured XML data. See "Indexing XMLType Data Stored Object-Relationally".
For unstructured, hybrid, and binary XML storage models, indexing a database column using the standard sorts of index (B-tree, bitmap) is generally not helpful for accessing particular parts of an XML document. If an XMLType column that contains an XML document is stored as a CLOB instance, then the details within that document are inaccessible to the column index — the entire document acts as a single unit as far as the column index is concerned. In hybrid storage, part of an XML document is broken up and stored object-relationally (structured storage), but one or more XML fragments are stored as CLOB instances (unstructured storage). A typical use case here is mapping an XML-schema complexType or a complex element to CLOB storage, because the entire fragment is generally accessed as a unit. For standard indexes, it acts as a unit for indexing as well.
XMLIndex provides a general, XML-specific index that indexes the internal structure of XML data. One of its main purposes is to overcome the indexing limitation presented by unstructured, hybrid, and binary XML storage.
An XMLIndex index with an unstructured component indexes the XML tags of your document and identifies document fragments based on XPath expressions that target them. It can also index scalar node values, to provide quick lookup based on individual values or ranges of values. It also records document hierarchy information for each node it indexes: relations parent–child, ancestor–descendant, and sibling. This index component is particularly useful for queries that extract XML fragments from documents that have little or variable structure.
An XMLIndex index with a structured component indexes highly structured and predictable parts of XML data that is nevertheless for the most part unstructured. This index component is particularly useful for queries that project and use such islands of structured content.
See Also:
"XMLIndex"Besides accessing XML nodes such as elements and attributes, it is sometimes important to provide fast access to particular passages of text within XML text nodes. This is the purpose of Oracle Text indexes: they index full-text strings. An Oracle Text CONTEXT index enables Oracle SQL function contains for full-text search over XML. With structured storage, XPath rewrite can often rewrite queries that use XPath function ora:contains to queries that use SQL function contains, so in those cases too an Oracle Text index can be employed.
Full-text indexing is particularly useful for document-centric applications, which often contain a mix of XML elements and text-node content. Full-text searching can often be made more powerful, more focused, by combining it with structural XML searching, that is, by restricting it to certain parts of an XML document, which are identified by using XPath expressions.
See Also:
"Oracle Text Indexes on XML Data"Which indexes are used when more than one might apply in a given case? Cost-based optimization determines the index or indexes to use, so that performance is maximized. Oracle Text indexes apply only to text, which, for XML data, means text nodes. Whenever text nodes are targeted and a corresponding Oracle Text index is defined, it is used. If other indexes are also appropriate in a particular context, then they can be used as well. However, just because an index is defined and it might appear applicable in a given situation does not mean that it will be used — it will not be used if the cost-based optimizer deems that its use would not be cost-effective.
In releases prior to Oracle Database 11g Release 1 (11.1), CTXXPath indexes were sometimes appropriate for use with XMLType data. In releases prior to Oracle Database 11g Release 2 (11.2), function-based indexes were sometimes appropriate for use with XMLType data. These indexing methods are no longer recommended for use with XMLType data.
In releases prior to Oracle Database 11g Release 2 (11.2), function-based indexes were sometimes appropriate for use with XMLType data when an XPath expression targeted a singleton node. Oracle recommends that you use the structured component of XMLIndex instead. Doing so obviates the overhead associated with maintenance operations on function-based indexes, and it increases the number of situations in which the optimizer can correctly select the index. No changes to existing DML statements are required as a result of this.
It continues to be the case that, for structured storage, defining an index for (deprecated) Oracle SQL function extractValue often leads, by XPath rewrite, to automatic creation of B-tree indexes on the underlying objects (instead of a function-based index on extractValue). The XPath target here must be a singleton element or attribute. A similar shortcut exists for XMLCast applied to XMLQuery.
Another type of index that is available for indexing XML data, CTXXPath, is deprecated, starting with Oracle Database 11g Release 1 (11.1). It has been superseded by XMLIndex, and it is made available only for use with older database releases. It cannot help in extracting an XML fragment, and it acts only as a preliminary filter for equality predicates; after such filtering, XPath expressions are evaluated functionally (that is, without the benefit of XPath rewrite).
Note:
CTXSYS.CTXXPath indexing was deprecated in Oracle Database 11g Release 1 (11.1). The functionality that was provided by CTXXPath is now provided by XMLIndex.
Oracle recommends that you replace CTXXPath indexes with XMLIndex indexes. The intention is that CTXXPath will no longer be supported in a future release of the database.
You can effectively index XML data that is stored object-relationally (structured storage) by creating B-tree indexes on the underlying database columns that correspond to XML nodes.
If the data to be indexed is a singleton, that is, if it can occur only once in any XML instance document, then you can use a shortcut of ostensibly creating a function-based index, where the expression defining the index is a functional application, with an XPath-expression argument that targets the singleton data. A shortcut is defined for XMLCast applied to XMLQuery, and another shortcut is defined for (deprecated) Oracle SQL function extractValue.
In many cases, Oracle XML DB then automatically creates appropriate indexes on the underlying object-relational tables or columns; it does not create a function-based index on the targeted XMLType data as the CREATE INDEX statement would suggest.
In the case of the extractValue shortcut, the index created is a B-tree index. In the case of XMLCast applied to XMLQuery, the index created is a function-based index on the scalar value resulting from the functional expression. "Indexing Non-Repeating text() Nodes or Attribute Values" describes this.
If the data to be indexed is a collection, then you cannot use such a shortcut; you must create the B-tree indexes manually. "Indexing Repeating (Collection) Elements" describes this.
Table purchaseorder in sample database schema OE is stored object-relationally. Each purchase-order document has a single Reference element; that is, this element is a singleton. This means that you can use a shortcut to create an index on the underlying object-relational data.
Example 6-1 shows a CREATE INDEX statement that ostensibly tries to create a function-based index using XMLCast applied to XMLQuery, targeting the text content of element Reference. (The content of this element is only text, so targeting the element is the same as targeting its text node using node test text().)
Example 6-2 ostensibly tries to create a function-based index using (deprecated) Oracle SQL function extractValue, targeting the same data.
Example 6-1 CREATE INDEX using XMLCAST and XMLQUERY on a Singleton Element
CREATE INDEX po_reference_ix ON purchaseorder
(XMLCast(XMLQuery ('$p/PurchaseOrder/Reference' PASSING po.OBJECT_VALUE AS "p"
RETURNING CONTENT)
AS VARCHAR2(128)));
Example 6-2 CREATE INDEX using EXTRACTVALUE on a Singleton Element
CREATE INDEX po_reference_ix ON purchaseorder (extractValue(OBJECT_VALUE, '/PurchaseOrder/Reference'));
In reality, in both Example 6-1 and Example 6-2 no function-based index is created on the targeted XMLType data. Instead, Oracle XML DB rewrites the CREATE INDEX statements to create indexes on the underlying scalar data.
See Also:
Example 8-4 and Example 8-5 for information about XPath rewrite as it applies to suchCREATE INDEX statementsIn some cases when you use either of these shortcuts, the CREATE INDEX statement is not able to create an index on the underlying scalar data as described, and it instead actually does create a function-based index on the referenced XMLType data. (This is so, even if the value of the index might be a scalar.)
If this happens, drop the index, and create instead an XMLIndex index with a structured component that targets the same XPath. As a general rule, Oracle recommends against using a function-based index on XMLType data.
This is an instance of a general rule for XMLType data, regardless of the storage method used: Use an XMLIndex with a structured component instead of a function-based index. This rule applies starting with Oracle Database 11g Release 2 (11.2). Respecting this rule obviates the overhead associated with maintenance operations on function-based indexes, and it can increase the number of situations in which the optimizer can correctly select the index.
See Also:
"Function-Based Indexes"In structured storage, a collection is stored as an ordered collection table (OCT) of an XMLType instance, which means that you can directly access its members. Because the structured storage model directly reflects the fine-grained structure of the XML data, you can create indexes that target individual collection members.
You must create such indexes manually. The special feature of automatically creating B-tree indexes when you ostensibly create a function-based index for (deprecated) Oracle SQL function extractValue does not apply to collections (the XPath expression passed to extractValue must target a singleton).
To create B-tree indexes for a collection, you must understand the structure of the SQL object that is used to manage the collection. Given this information, you can use conventional object-relational SQL code to created the indexes directly on the appropriate SQL-object attributes. Refer to "Guideline: Create indexes on ordered collection tables" for an example of how to do this.
This section contains these topics:
Creating, Dropping, Altering, and Examining an XMLIndex Index
XMLIndex Path Subsetting: Specifying the Paths You Want to Index
Guidelines for Using XMLIndex with an Unstructured Component
Collecting Statistics on XMLIndex Objects for the Cost-Based Optimizer
B-tree indexes can be used advantageously with structured (object-relational) storage — they provide sharp focus by targeting the underlying objects directly. They are generally ineffective, however, in addressing the detailed structure (elements and attributes) of an XML document stored using binary XML or CLOB storage, or of an XML fragment stored in a CLOB instance embedded in object-relational storage. That is the special domain of XMLIndex: unstructured and hybrid storage.
One typical use case for XMLIndex is where you generally expect to access certain portions of a document in their entirety, so you pack those portions into one or more CLOB instances. You might nevertheless sometimes need to query within these document portions. XMLIndex can help here.
Another use case is where an XML schema contains xsd:any elements, for lack of any specific knowledge of the document structure and data types involved. The data corresponding to these elements is stored in CLOB instances, and XMLIndex can be used to speed access to it.
XMLIndex is a domain index; it is designed specifically for the domain of XML data. It is a logical index. An XMLIndex index can be used for SQL/XML functions XMLQuery, XMLTable, XMLExists, and XMLCast.
XMLIndex presents the following advantages over other indexing methods:
An XMLIndex index is effective in any part of a query; it is not limited to use in a WHERE clause. This is not the case for any of the other kinds of indexes you might use with XML data.
An XMLIndex index with an unstructured component can speed access to both SELECT list data and FROM list data, making it useful for XML fragment extraction, in particular. Function-based indexes and CTXXPath indexes, both of which are deprecated, cannot be used to extract document fragments.
You can use an XMLIndex index with either XML schema-based or non-schema-based data. You can use it with unstructured storage, hybrid storage, and binary XML storage. B-tree indexing is appropriate only for XML schema-based data that is stored object-relationally (structured storage); it is ineffective for XML schema-based data stored in a CLOB instance.
You can use an XMLIndex index for searches with XPath expressions that target collections, that is, nodes that occur multiple times within a document. This is not the case for function-based indexes.
You need no prior knowledge of the XPath expressions that might be used in queries. The unstructured component of an XMLIndex index can be completely general. This is not the case for function-based indexes.
If you have prior knowledge of the XPath expressions to be used in queries, then you can improve performance either by using a structured XMLIndex component that targets fixed, structured islands of data that are queried often.
XMLIndex indexing — both index creation and index maintenance — can be carried out in parallel, using multiple database processes. This is not the case for function-based and CTXXPATH indexes, which are deprecated.
XMLIndex is used to index XML data that is semi-structuredFoot 1 , that is, data that generally has little or no fixed structure. It applies to data that is stored using binary XML or CLOB-based storage. This includes XML data stored in CLOB instances that are embedded in object-relational storage (hybrid storage).
Semi-structured XML data can sometimes nevertheless contain islands of predictable, structured data. An XMLIndex index can therefore have two components: a structured component, used to index such islands, and an unstructured component, used to index data that has little or variable structure.
A structured component can help with queries that project and use islands of structured content. An unstructured component can help with queries that extract XML fragments. Either component can be omitted from a given XMLIndex index.
Unlike a structured component, an unstructured component is general and relatively untargeted. Though you can restrict an unstructured component to apply only to certain XPath subsets, its path table indexes node content that can be of different scalar types, which can require you to create multiple secondary indexes on the VALUE column to deal with the different data types — see "Secondary Indexes on Column VALUE". Using an unstructured component alone can also lead to inefficiencies involving multiple probes and self-joins of its path table, for queries that project structured islands.
On the other hand, a structured component is not suited for queries that involve little structure or queries that extract XML fragments. Use a structured component to index structured islands of data; use an unstructured component to index data that has little structure.
Figure 6-1 is the same as Figure 1-5 in Chapter 1. The last row indicates the applicability of XMLIndex for different XML data use cases. It shows that XMLIndex is appropriate for semi-structured XML data, however it is stored (last three columns). And an XMLIndex index with a structured component is useful for document-centric data that contains structured islands (fourth column).
Figure 6-1 XML Use Cases and XML Indexing

See Also:
"Advantages of XMLIndex" for a summary of the advantages provided by each XMLIndex component type
You create and use the structured component of an XMLIndex index for queries that project fixed, structured islands of XML content, even if the surrounding data is relatively unstructured.
A structured XMLIndex component organizes such islands in a relational format. In this it is similar to SQL/XML function XMLTable, and the syntax you use to define the structured component reflects this similarity. The relational tables used to store the indexing data are data-type aware, and each column can be of a different scalar data type.
You can thus think of the act of creating the structured component of an XMLIndex index as decomposing a structured portion of your XML data into relational format. This differs from the object-relational storage model of XMLType in these ways:
A structured index component explicitly decomposes particular portions of your data, which you specify — portions that you commonly query. Object-relational XMLType storage involves automatic decomposition of an entire XMLType table or column.
The structured component of an XMLIndex index applies to both XML schema-based and non-schema-based data. Object-relational XMLType storage applies only to data that is based on an XML schema.
The decomposed data for a structured XMLIndex component is stored in addition to the XMLType data, as an index, rather than being the storage model for the XMLType data itself.
For a structured XMLIndex component, the same data can be projected multiple times, as columns of different data type.
The index content tables used for the structured component of an XMLIndex index are part of the index, but because they are normal relational tables you can, in turn, index them using any standard relational indexes, including indexes that satisfy primary-key and foreign-key constraints. You can also index them using domain indexes, such as an Oracle Text CONTEXT index.
Another way to look at the structured component of an XMLIndex index sees that it acts as a generalized function-based index. A function-based index is similar to a structured XMLIndex component that has only one relational column.
If you find that for a particular application you are creating multiple function-based indexes, then consider using a structured XMLIndex index instead. Create also B-tree indexes on the columns of the structured index component.
Note:
Queries that use SQL/XML function XMLTable can typically be rewritten to use the relational indexing tables of an XMLIndex structured component. These tables also contain some internal, system-defined columns. These internal columns might change in the future, so do not write code that depends on any assumptions about their existence or contents.
Queries that use Oracle SQL function XMLSequence within a SQL TABLE collection expression, that is, TABLE(XMLSequence(...)), are not rewritten to use the indexing tables of an XMLIndex structured component. Oracle SQL function XMLSequence is deprecated in Oracle Database 11g Release 2; use standard SQL/XML function XMLTable instead.
See Oracle Database SQL Language Reference for information about the SQL TABLE collection expression.
Although the index content tables of an XMLIndex structured component are normal relational tables, they are also read-only: you cannot add or drop their columns or modify (insert, update, or delete) their rows.
You can thus generally ignore the relational index content tables. You cannot access them, other than to DESCRIBE them and create (secondary) indexes on them. You need never explicitly gather statistics on them. You need only collect statistics on the XMLIndex index itself or the base table on which the XMLIndex index is defined; statistics are collected and maintained on the index content tables transparently.
The relational tables that are used for an XMLIndex structured component use SQL data types. XQuery expressions that are used in queries use XML data types (XML Schema data types and XQuery data types).
XQuery typing rules can automatically change the data type of a subexpression, to ensure coherence and type-checking. For example, if a document that is queried using XPath expression /PurchaseOrder/LineItem[@ItemNumber = 25] is not XML schema-based, then the subexpression @ItemNumber is untyped, and it is then automatically cast to xs:double by the XQuery = comparison operator. To index this data using an XMLIndex structured component you must use BINARY_DOUBLE as the SQL data type.
This is a general rule. For an XMLIndex index with structured component to apply to a query, the data types must correspond. Table 6-5 shows the data-type correspondences.
Table 6-5 XML and SQL Data Type Correspondence for XMLIndex
| XML Data Type | SQL Data Type |
|---|---|
|
|
|
|
|
|
|
|
|
|
|
|
|
|
|
|
|
|
|
|
|
Note:
If the XML data type isxs:date or xs:dateTime, and if you know that the data that you will query and for which you are creating an index will not contain a time-zone component, then you can increase performance by using SQL data type DATE or TIMESTAMP. If the data might contain a time-zone component, then you must use SQL data type TIMESTAMP WITH TIMEZONE.If the XML and SQL data types involved do not have a built-in one-to-one correspondence, then you must make them correspond (according to Table 6-5), in order for the index to be picked up for your query. There are two ways you can do this:
Make the index correspond to the query – Define (or redefine) the column in the structured index component, so that it corresponds to the XML data type. For example, if a query that you want to index uses the XML data type xs:double, then define the index to use the corresponding SQL data type, BINARY_DOUBLE.
Make the query correspond to the index – In your query, explicitly cast the relevant parts of an XQuery expression to data types that correspond to the SQL data types used in the index content table.
Example 6-3 and Example 6-4 show how you can cast an XQuery expression in your query to match the SQL data type used in the index content table.
Example 6-3 Making Query Data Compatible with Index Data – SQL Cast
SELECT count(*) FROM purchaseorder WHERE XMLCast(XMLQuery('$p/PurchaseOrder/LineItem/@ItemNumber' PASSING OBJECT_VALUE AS "p" RETURNING CONTENT) AS INTEGER) = 25;
Example 6-4 Making Query Data Compatible with Index Data – XQuery Cast
SELECT count(*) FROM purchaseorder
WHERE XMLExists('$p/PurchaseOrder/LineItem[xs:decimal(@ItemNumber) = 25]'
PASSING OBJECT_VALUE AS "p");
Notice that the number 25 plays a different role in these two examples, even though in both cases it is the purchase-order item number. In Example 6-3, 25 is a SQL number of data type INTEGER; in Example 6-4, 25 is an XQuery number of data type xs:decimal.
In Example 6-3, the XMLQuery result is cast to SQL type INTEGER, which is compared with the SQL value 25. In Example 6-4, the value of attribute ItemNumber is cast (in XQuery) to the XML data type xs:decimal, which is compared with the XQuery value 25 and which corresponds to the SQL data type (INTEGER) used for the index. There are thus two different kinds of data-type conversion in these examples, but they both convert query data to make it type-compatible with the index content table.
See Also:
"Mapping XML Schema Data Types to SQL Data Types" for information about the built-in correspondence between XML Schema data types and SQL data typesUnlike a B-tree index, which you define for a specific database column that represents an individual XML element or attribute, or the XMLIndex structured component, which applies to specific, structured document parts, the unstructured component of an XMLIndex index is, by default, very general. Unless you specify a more narrow focus by detailing specific XPath expressions to use or not to use in indexing, an unstructured XMLIndex component applies to all possible XPath expressions for your XML data.
The unstructured component of an XMLIndex index has three logical parts:
A path index – This indexes the XML tags of a document and identifies its various document fragments.
An order index – This indexes the hierarchical positions of the nodes in an XML document. It keeps track of parent–child, ancestor–descendant, and sibling relations.
A value index – This indexes the values of an XML document. It provides lookup by either value equality or value range. A value index is used for values in query predicates (WHERE clause).
The unstructured component of an XMLIndex index uses a path table and a set of (local) secondary indexes on the path table, which implement the logical parts described above. Two secondary indexes are created automatically:
A pikey index, which implements the logical indexes for both path and order.
A real value index, which implements the logical value index.
You can modify these two indexes or create additional secondary indexes. The path table and its secondary indexes are all owned by the owner of the base table upon which the XMLIndex index is created.
The pikey index handles paths and order relationships together, which gives the best performance in most cases. If you find in some particular case that the value index is not picked up when think it should be, you can replace the pikey index with separate indexes for the paths and order relationships. Such (optional) indexes are called path id and order key indexes, respectively. For best results, contact Oracle Support if you find that the pikey index is not sufficient for your needs in some case.
The path table contains one row for each indexed node in the XML document. For each indexed node, the path table stores:
The corresponding rowid of the table that stores the document.
A locator, which provides fast access to the corresponding document fragment. For binary XML storage of XML schema-based data, it also stores data-type information.
An order key, to record the hierarchical position of the node in the document. You can think of this as a Dewey decimal key like that used in library cataloging and Internet protocol SNMP. In such a system, the key 3.21.5 represents the node position of the fifth child of the twenty-first child of the third child of the document root node.
An identifier that represents an XPath path to the node.
The effective text value of the node.
Table 6-6 shows the main informationFoot 2 that is in the path table.
Table 6-6 XMLIndex Path Table
| Column | Data Type | Description |
|---|---|---|
|
|
|
Unique identifier for the XPath path to the node. |
|
|
|
Rowid of the table used to store the XML data. |
|
|
|
Decimal order key that identifies the hierarchical position of the node. (Document ordering is preserved.) |
|
|
|
Fragment-location information. Used for fragment extraction. For binary XML storage of XML schema-based data, data-type information is also stored here. |
|
|
|
Effective text value the node. |
The pikey index uses path table columns PATHID, RID, and ORDER_KEY to represent the path and order indexes. An optional path id index uses columns PATHID and RID to represent the path index. A value index is an index on the VALUE column.
Example 6-5 explores the contents of the path table for two purchase-order documents.
Example 6-5 Path Table Contents for Two Purchase Orders
<PurchaseOrder> <Reference>SBELL-2002100912333601PDT</Reference> <Actions> <Action> <User>SVOLLMAN</User> </Action> </Actions> . . . </PurchaseOrder> <PurchaseOrder> <Reference>ABEL-20021127121040897PST</Reference> <Actions> <Action> <User>ZLOTKEY</User> </Action> <Action> <User>KING</User> </Action> </Actions> . . . </PurchaseOrder>
An XMLIndex index on an XMLType table or column storing these purchase orders includes a path table that has one row for each indexed node in the XML documents. Suppose that the system assigns the following PATHIDs when indexing the nodes according to their XPath expressions:
| PATHID | Indexed XPath |
|---|---|
1 |
/PurchaseOrder |
2 |
/PurchaseOrder/Reference |
3 |
/PurchaseOrder/Actions |
4 |
/PurchaseOrder/Actions/Action |
5 |
/PurchaseOrder/Actions/Action/User |
The resulting path table would then be something like this (column LOCATOR is not shown):
| PATHID | RID | ORDER_KEY | VALUE |
|---|---|---|---|
1 |
R1 |
1 |
SBELL-2002100912333601PDTSVOLLMAN |
2 |
R1 |
1.1 |
SBELL-2002100912333601PDT |
3 |
R1 |
1.2 |
SVOLLMAN |
4 |
R1 |
1.2.1 |
SVOLLMAN |
5 |
R1 |
1.2.1.1 |
SVOLLMAN |
1 |
R2 |
1 |
ABEL-20021127121040897PSTZLOTKEYKING |
2 |
R2 |
1.1 |
ABEL-20021127121040897PST |
3 |
R2 |
1.2 |
ZLOTKEYKING |
4 |
R2 |
1.2.1 |
ZLOTKEY |
5 |
R2 |
1.2.1.1 |
ZLOTKEY |
4 |
R2 |
1.2.2 |
KING |
5 |
R2 |
1.2.2.1 |
KING |
Though you can create secondary indexes on path-table columns, you can generally ignore the path table itself. You cannot access the path table, other than to DESCRIBE it and create (secondary) indexes on it. You need never explicitly gather statistics on the path table. You need only collect statistics on the XMLIndex index or the base table on which the XMLIndex index is defined; statistics are collected and maintained on the path table and its secondary indexes transparently.
A secondary index on column VALUE is used with XPath expressions in a WHERE clause that have predicates involving string matches. For example:
/PurchaseOrder[Reference/text() = "SBELL-2002100912333601PDT"]
Column VALUE stores the effective text value of an element or an attribute node — comments and processing instructions are ignored during indexing.
For an attribute, the effective text value is the attribute value.
For a simple element (an element that has no children), the effective text value is the concatenation of all of the text nodes of the element.
For a complex element (an element that has children), the effective text value is the concatenation of (1) the text nodes of the element itself and (2) the effective text values of all of its simple-element descendants. (This is a recursive definition.)
The effective text value is limited (truncated), however, to 4000 bytes for a simple element or attribute and to 80 bytes for a complex element.
Column VALUE is a fixed size, VARCHAR2(4000). Any overflow (beyond 4000 bytes) during index creation or update is truncated, but the LOCATOR value for that row is then flagged so that the full value can be retrieved from the base table when needed.
In addition to the 4000-byte limit for column VALUE, there is a limit on the size of a key for the secondary index created on this column. This is the case for B-tree and function-based indexes as well; it is not an XMLIndex limitation. The index-key size limit is a function of the block size for your database. It is this limit that determines how much of VALUE is indexed.
In sum, only the first 4000 bytes of the effective text value are stored in column VALUE, and only the first N bytes of column VALUE are indexed, where N is the index-key size limit (N < 4000). Because of the index-key size limit, the index on column VALUE acts only as a preliminary filter for the effective text value.
For example, suppose that your database block size requires that the VALUE index be no larger than 800 bytes, so that only the first 800 bytes of the effective text value is indexed. The first 800 bytes of the effective text value is first tested, using XMLIndex, and only if that text prefix matches the query value is the rest of the effective text value tested.
The secondary index on column VALUE is an index on SQL function substr (substring equality), because that function is used to test the text prefix. This function-based index is created automatically as part of the implementation of XMLIndex for column VALUE.
For example, the XPath expression /PurchaseOrder[Reference/text() = :1] in a query WHERE clause might, in effect, be rewritten to a test something like this:
substr(VALUE, 1 800) = substr(:1, 1, 800) AND VALUE = :1;
This conjunction contains two parts, which are processed from left to right. The first test uses the index on function substr as a preliminary filter, to eliminate text whose first 800 bytes do not match the first 800 bytes of the value of bind variable :1.
Only the first test uses an index — the full value of column VALUE is not indexed. After preliminary filtering by the first test, the second test checks the entire effective text value — that is, the full value of column VALUE — for full equality with the value of :1. This check does not use an index.
Even if only the first 800 bytes of text is indexed, it is important for query performance that up to 4000 bytes be stored in column VALUE, because that provides quick, direct access to the data, instead of requiring, for example, extracting it from deep within a CLOB-instance XML document. If the effective text value is greater than 4000 bytes, then the second test in the WHERE-clause conjunction requires accessing the base-table data.
Note that neither the VALUE column 4000-byte limit nor the index-key size affect query results in any way; they can affect only performance.
Note:
Because of the possibility of theVALUE column being truncated, an Oracle Text CONTEXT index created on the VALUE column might return incorrect results.As mentioned, XMLIndex can be used with XML schema-based data. If an XML schema specifies a defaultValue value for a given element or attribute, and a particular document does not specify a value for that element or attribute, then the defaultValue value is used for the VALUE column.
Even if you do not specify a secondary index for column VALUE when you create an XMLIndex index, a default secondary index is created on column VALUE. This default index has the default properties — in particular, it is an index for text (string-valued) data only.
You can, however, create a VALUE index of a different type. For example, you can create a number-valued index if that is appropriate for many of your queries. You can create multiple secondary indexes on the VALUE column. An index of a particular type is used only when it is appropriate. For example, a number-valued index is used only when the VALUE column is a number; it is ignored for other values. Secondary indexes on path-table columns are treated like any other secondary indexes — you can alter them, drop them, mark them unusable, and so on.
See Also:
"Using XMLIndex with an Unstructured Component" for examples of creating secondary indexes on column VALUE
"PARAMETERS Clause for CREATE INDEX and ALTER INDEX" for the syntax of the PARAMETERS clause
The following types of XPath expressions are not indexed by XMLIndex:
Applications of XPath functions, except ora:contains. In particular, user-defined XPath functions are not indexed.
Axes other than child, descendant, and attribute, that is, axes parent, ancestor, following-sibling, preceding-sibling, following, preceding, and ancestor-or-self.
Expressions using the union operator, | (vertical bar).
You create an XMLIndex index by declaring the index type to be XDB.XMLIndex, as illustrated in Example 6-6.
Example 6-6 Creating an XMLIndex Index on XMLType Unstructured Storage
CREATE INDEX po_xmlindex_ix ON po_clob (OBJECT_VALUE) INDEXTYPE IS XDB.XMLIndex;
This creates an XMLIndex index named po_xmlindex_ix on XMLType table po_clob. The index has only an unstructured component, no structured component.
You specify inclusion of a structured component in an XMLIndex index by including a structured_clause in the PARAMETERS clause. You specify inclusion of an unstructured component by including a path_table_clause in the PARAMETERS clause. You can do this when you create the XMLIndex index or when you modify it. If, as in Example 6-6, you specify neither a structured_clause nor a path_table_clause, then only an unstructured component is included.
If an XMLIndex index has both an unstructured and a structured component, then you can drop either of these components using ALTER INDEX.
See Also:
You can obtain the name of an XMLIndex index on a particular XMLType table (or column), as shown in Example 6-7. You can also select INDEX_NAME from DBA_INDEXES or ALL_INDEXES, as appropriate.
Example 6-7 Obtaining the Name of an XMLIndex Index on a Particular Table
SELECT INDEX_NAME FROM USER_INDEXES WHERE TABLE_NAME = 'PO_CLOB' AND ITYP_NAME = 'XMLINDEX'; INDEX_NAME --------------- PO_XMLINDEX_IX 1 row selected.
You rename or drop an XMLIndex index just as you would any other index, as illustrated in Example 6-8. This renaming changes the name of the XMLIndex index only. It does not change the name of the path table — you can rename the path table separately.
Example 6-8 Renaming and Dropping an XMLIndex Index
ALTER INDEX po_xmlindex_ix RENAME TO new_name_ix;
DROP INDEX new_name_ix;
Similarly, you can change other index properties using other ALTER INDEX options, such as REBUILD. XMLIndex is no different from other index types in this respect.
The RENAME clause of an ALTER INDEX statement for XMLIndex applies only to the XMLIndex index itself. To rename the path table and secondary indexes, you must determine the names of these objects and use appropriate ALTER TABLE or ALTER INDEX statements on them directly. Similarly, to retrieve the physical properties of the secondary indexes or alter them in any other way, you must obtain their names, as in Example 6-15.
Example 6-6 shows how to create an XMLIndex index on unstructured storage. You can also create an XMLIndex index on CLOB portions of hybrid XMLType storage, that is, on CLOB data that is embedded within object-relational storage. Example 6-9 illustrates this. It assumes that the XML schema used maps the LineItems element to CLOB, such as is shown in Example 6-10.
Example 6-9 Creating an XMLIndex Index on XMLType Hybrid Storage
CREATE INDEX po_xmlindex_hybrid_ix ON purchaseorder (extract(OBJECT_VALUE, '/PurchaseOrder/LineItems')) INDEXTYPE IS XDB.XMLIndex;
Example 6-10 XML Schema Fragment that Maps LineItems to CLOB Storage
<xs:element name="LineItems" type="LineItemsType" xdb:SQLName="LINEITEMS" xdb:SQLType="CLOB"/>
See Also:
"PARAMETERS Clause for CREATE INDEX and ALTER INDEX" for the syntax of thePARAMETERS clauseThis section covers operations you might perform on an XMLIndex index that has an unstructured component (whether or not it also has a structured component) — see "XMLIndex Unstructured Component".
To include an unstructured component in an XMLIndex index, you use a path_table_clause in the PARAMETERS clause when you create or modify the XMLIndex index — see "path_table_clause ::=".
If you do not specify a structured component, then the index will have an unstructured component, even if you do not specify the path table. It is however generally a good idea to specify the path table, so that it has a recognizable, user-oriented name that you can refer to in other XMLIndex operations.
Example 6-11 shows how to name the path table ("my_path_table") when creating an XMLIndex index with an unstructured component.
Example 6-11 Naming the Path Table of an XMLIndex Index
CREATE INDEX po_xmlindex_ix ON po_clob (OBJECT_VALUE) INDEXTYPE IS XDB.XMLIndex
PARAMETERS ('PATH TABLE my_path_table');
If you do not name the path table then its name is generated by the system, using the index name you provide to CREATE INDEX as a base. Example 6-12 shows this for the XMLIndex index created in Example 6-6.
Example 6-12 Determining the System-Generated Name of an XMLIndex Path Table
SELECT PATH_TABLE_NAME FROM USER_XML_INDEXES WHERE TABLE_NAME = 'PO_CLOB' AND INDEX_NAME = 'PO_XMLINDEX_IX'; PATH_TABLE_NAME ------------------------------ SYS67567_PO_XMLINDE_PATH_TABLE 1 row selected.
By default, the storage options of a path table and its secondary indexes are derived from the storage properties of the base table on which the XMLIndex index is created. You can specify different storage options by using a PARAMETERS clause when you create the index, as shown in Example 6-13. The PARAMETERS clause of CREATE INDEX (and ALTER INDEX) must be between single quotation marks (').
See Also:
"PARAMETERS Clause for CREATE INDEX and ALTER INDEX" for the syntax of thePARAMETERS clauseExample 6-13 Specifying Storage Options When Creating an XMLIndex Index
CREATE INDEX po_xmlindex_ix ON po_clob (OBJECT_VALUE) INDEXTYPE IS XDB.XMLIndex
PARAMETERS
('PATH TABLE po_path_table
(PCTFREE 5 PCTUSED 90 INITRANS 5
STORAGE (INITIAL 1k NEXT 2k MINEXTENTS 3 BUFFER_POOL KEEP)
NOLOGGING ENABLE ROW MOVEMENT PARALLEL 3)
PIKEY INDEX po_pikey_ix (LOGGING PCTFREE 1 INITRANS 3)
VALUE INDEX po_value_ix (LOGGING PCTFREE 1 INITRANS 3)');
Because XMLIndex is a logical domain index, not a physical index, all physical attributes are either zero (0) or NULL.
If an XMLIndex index has both an unstructured and a structured component, then you can use ALTER INDEX to drop the unstructured component. To do this, you drop the path table. Example 6-14 illustrates this. (This assumes that you also have a structured component — Example 6-22 results in an index with both structured and unstructured components.)
Example 6-14 Dropping an XMLIndex Unstructured Component
ALTER INDEX po_xmlindex_ix PARAMETERS('DROP PATH TABLE');
Note that, in addition to specifying storage options for the path table, Example 6-13 names the secondary indexes on the path table.
Like the name of the path table, the names of the secondary indexes on the path-table columns are generated automatically using the index name as a base, unless you specify them in the PARAMETERS clause. Example 6-15 illustrates this, and shows how you can determine these names using public view USER_IND_COLUMNS. It also shows that the pikey index uses three columns.
Example 6-15 Determining the Names of the Secondary Indexes of an XMLIndex Index
SELECT INDEX_NAME, COLUMN_NAME, COLUMN_POSITION FROM USER_IND_COLUMNS
WHERE TABLE_NAME IN (SELECT PATH_TABLE_NAME FROM USER_XML_INDEXES
WHERE INDEX_NAME = 'PO_XMLINDEX_IX')
ORDER BY INDEX_NAME, COLUMN_NAME;
INDEX_NAME COLUMN_NAME COLUMN_POSITION
------------------------------ ------------ ---------------
SYS67563_PO_XMLINDE_PIKEY_IX ORDER_KEY 3
SYS67563_PO_XMLINDE_PIKEY_IX PATHID 2
SYS67563_PO_XMLINDE_PIKEY_IX RID 1
SYS67563_PO_XMLINDE_VALUE_IX SYS_NC00006$ 1
4 rows selected.
See Also:
Example 6-21 for a similar, but more complex exampleThis section adds extra secondary indexes to the XMLIndex index created in Example 6-13.
You can create any number of additional secondary indexes on the VALUE column of the path table of an XMLIndex index. These can be of different types, including function-based indexes and Oracle Text indexes.
Whether or not a given index is used for a given element occurrence when processing a query is determined by whether it is of the appropriate type for that value and whether it is cost-effective to use it.
Example 6-16 creates a function-based index on column VALUE of the path table using SQL function substr. This might be useful if your queries often use substr applied to the text nodes of XML elements.
Example 6-16 Creating a Function-Based Index on Path-Table Column VALUE
CREATE INDEX fn_based_ix ON po_path_table (substr(VALUE, 1, 100));
If you have many elements whose text nodes represent numeric values, then it can make sense to create a numeric index on the column VALUE. However, doing so directly, in a manner analogous to Example 6-16, raises an ORA-01722 error (invalid number) if some of the element values are not numbers. This is illustrated in Example 6-17.
Example 6-17 Trying to Create a Numeric Index on Path-Table Column VALUE Directly
CREATE INDEX direct_num_ix ON po_path_table (to_binary_double(VALUE));
CREATE INDEX direct_num_ix ON po_path_table (to_binary_double(VALUE))
*
ERROR at line 1:
ORA-01722: invalid number
What is needed is an index that is used for numeric-valued elements but is ignored for element occurrences that do not have numeric values. Procedure createNumberIndex of package DBMS_XMLINDEX exists specifically for this purpose. You pass it the names of the database schema, the XMLIndex index, and the numeric index to be created. Creation of a numeric index is illustrated in Example 6-18.
Example 6-18 Creating a Numeric Index on Column VALUE with Procedure createNumberIndex
CALL DBMS_XMLINDEX.createNumberIndex('OE', 'PO_XMLINDEX_IX', 'API_NUM_IX');
Note that because such an index is specifically designed to ignore elements that do not have numeric values, its use does not detect their presence. If there are non-numeric elements and, for whatever reason, the XMLIndex index is not used in some query, then an ORA-01722 error is raised. However, if the index is used, no such error is raised, because the index ignores non-numeric data. As always, the use of an index never changes the result set — it never gives you different results, but use of an index can prevent you from detecting erroneous data.
Creating a date-valued index is similar to creating a numeric index; you use procedure DBMS_XMLINDEX.createDateIndex. Example 6-19 shows this.
Example 6-19 Creating a Date Index on Column VALUE with Procedure createDateIndex
CALL DBMS_XMLINDEX.createDateIndex('OE', 'PO_XMLINDEX_IX', 'API_DATE_IX',
'dateTime');
Example 6-20 creates an Oracle Text CONTEXT index on column VALUE. This is useful for full-text queries on text values of XML elements. XPath predicates that use XPath function ora:contains are rewritten to applications of Oracle SQL function contains on column VALUE. If a CONTEXT index is defined on column VALUE, then it is used during predicate evaluation. An Oracle Text index is independent of all other VALUE-column indexes.
Example 6-20 Creating an Oracle Text CONTEXT Index on Path-Table Column VALUE
CREATE INDEX po_otext_ix ON po_path_table (VALUE)
INDEXTYPE IS CTXSYS.CONTEXT PARAMETERS('TRANSACTIONAL');
See Also:
"From ora:contains to contains" for information about parameter TRANSACTIONAL
"Column VALUE of an XMLIndex Path Table" for information about the possibility of an Oracle Text CONTEXT index created on the VALUE column returning incorrect results
The query in Example 6-21 shows all of the secondary indexes created on the path table of an XMLIndex index. The indexes created explicitly are in bold. Note, in particular, that some indexes, such as the function-based index created on column VALUE, do not appear as such; the column name listed for such an index is a system-generated name, such as SYS_NC00007$. This means that you cannot see these columns by executing a query with COLUMN_NAME = 'VALUE' in the WHERE clause.
Example 6-21 Showing All Secondary Indexes on an XMLIndex Path Table
SELECT c.INDEX_NAME, c.COLUMN_NAME, c.COLUMN_POSITION, e.COLUMN_EXPRESSION FROM USER_IND_COLUMNS c LEFT OUTER JOIN USER_IND_EXPRESSIONS e ON (c.INDEX_NAME = e.INDEX_NAME) WHERE c.TABLE_NAME IN (SELECT PATH_TABLE_NAME FROM USER_XML_INDEXES WHERE INDEX_NAME = 'PO_XMLINDEX_IX') ORDER BY c.INDEX_NAME, c.COLUMN_NAME; INDEX_NAME COLUMN_NAME COLUMN_POSITION COLUMN_EXPRESSION -------------------- ------------ --------------- ---------------------- API_DATE_IX SYS_NC00009$ 1 SYS_EXTRACT_UTC(SYS_XMLCONV("V ALUE",3,8,0,0,181)) API_NUM_IX SYS_NC00008$ 1 TO_BINARY_DOUBLE("VALUE") FN_BASED_IX SYS_NC00007$ 1 SUBSTR("VALUE",1,100) PO_OTEXT_IX VALUE 1 PO_PIKEY_IX ORDER_KEY 3 PO_PIKEY_IX PATHID 2 PO_PIKEY_IX RID 1 PO_VALUE_IX SYS_NC00006$ 1 SUBSTRB("VALUE",1,1599) 8 rows selected.
See Also:
Oracle Database PL/SQL Packages and Types Reference for information on PL/SQL procedures createNumberIndex and createDateIndex in package DBMS_XMLINDEX
"Oracle Text Indexes Are Used Independently of Other Indexes" for information on using Oracle Text indexes
To include a structured component in an XMLIndex index, you use a structured_clause in the PARAMETERS clause when you create or modify the XMLIndex index — see "structured_clause ::=".
A structured_clause specifies the structured islands that you want to index. You use the keyword GROUP to specify each structured island: an island thus corresponds syntactically to a structure group. If you specify no group explicitly, then the predefined group DEFAULT_GROUP is used. For ALTER INDEX, you precede the GROUP keyword with the modification operation keyword: ADD_GROUP specifies a new group (island); DROP_GROUP deletes a group.
Why have multiple groups within a single index, instead of simply using multiple XMLIndex indexes? The reason is that XMLIndex is a domain index, and you can create only one domain index of a given type on a given database column.
The syntax for defining a structure group, that is, indexing a structured island, is similar to the syntax for invoking SQL/XML function XMLTable: you use keywords XMLTable and COLUMNS to define relational columns, and you use multilevel chaining of XMLTable to handle collections.
Example 6-22 shows the creation of an XMLIndex index with only an unstructured component. An unstructured component is created because the PARAMETERS clause explicitly names the path table.
Example 6-22 then uses ALTER INDEX to add a structured component (group) named po_item. This structure group includes two relational tables, each specified with keyword XMLTable.
Example 6-22 XMLIndex Index: Adding a Structured Component
CREATE INDEX po_xmlindex_ix ON po_clob (OBJECT_VALUE)
INDEXTYPE IS XDB.XMLIndex PARAMETERS ('PATH TABLE path_tab');
BEGIN
DBMS_XMLINDEX.registerParameter(
'myparam',
'ADD_GROUP GROUP po_item
XMLTable po_idx_tab ''/PurchaseOrder''
COLUMNS reference VARCHAR2(30) PATH ''Reference'',
requestor VARCHAR2(30) PATH ''Requestor'',
username VARCHAR2(30) PATH ''User'',
lineitem XMLType PATH ''LineItems/LineItem'' VIRTUAL
XMLTable po_index_lineitem ''/LineItem'' PASSING lineitem
COLUMNS itemno BINARY_DOUBLE PATH ''@ItemNumber'',
description VARCHAR2(256) PATH ''Description'',
partno VARCHAR2(14) PATH ''Part/@Id'',
quantity BINARY_DOUBLE PATH ''Part/@Quantity'',
unitprice BINARY_DOUBLE PATH ''Part/@UnitPrice''');
END;
/
ALTER INDEX po_xmlindex_ix PARAMETERS('PARAM myparam');
The top-level table, po_idx_tab, has columns reference, requestor, username, and lineitem. Column lineitem is of type XMLType. It represents a collection, so it is passed to the second XMLTable construct to form the second-level relational table, po_index_lineitem, which has columns itemno, description, partno, quantity, and unitprice.
The keyword VIRTUAL is required for an XMLType column. It specifies that the XMLType column itself is not materialized: its data is stored in the XMLIndex index only in the form of the relational columns specifed by its corresponding XMLTable table.
You cannot create more than one XMLType column in a given XMLTable clause. To achieve that effect, you must instead define an additional group.
Example 6-22 also illustrates the use of a registered parameter string in the PARAMETERS clause. It uses PL/SQL procedure DBMS_INDEX.registerParameter to register the parameters string named myparam. Then it uses ALTER INDEX to update the index parameters to include those in the string myparam.
If an XMLIndex index has both an unstructured and a structured component, then you can use ALTER INDEX to drop the structured component. You do this by dropping all of the structure groups that compose the structured component. Example 6-23 shows how to drop the structured component that was added in Example 6-22, by dropping its only structure group, po_item.
Example 6-23 Dropping an XMLIndex Structured Component
ALTER INDEX po_xmlindex_ix PARAMETERS('DROP_GROUP GROUP po_item');
As indicated in section "XMLIndex Structured Component", because the tables used for the structured component of an XMLIndex index are normal relational tables, you can index them using any standard relational indexes.
Example 6-24 and Example 6-25 illustrate this: Example 6-24 creates a B-tree index on the reference column of the index content table (structured fragment) for the XMLIndex index of Example 6-22. Example 6-25 creates an Oracle Text CONTEXT index on the description column and then uses a full-text query on the content.
Example 6-24 Creating a B-Tree Index on an XMLIndex Index Content Table
CREATE INDEX idx_tab_ref_ix ON po_idx_tab (reference);
Example 6-25 Oracle Text CONTEXT Index on an XMLIndex Index Content Table
CREATE INDEX idx_tab_desc_ix ON po_index_lineitem (description)
INDEXTYPE IS CTXSYS.CONTEXT PARAMETERS ('transactional');
SELECT XMLQuery('/PurchaseOrder/LineItems/LineItem'
PASSING OBJECT_VALUE RETURNING CONTENT)
FROM po_clob
WHERE XMLExists('/PurchaseOrder/LineItems/LineItem
[ora:contains(Description, "Picnic") > 0]'
PASSING OBJECT_VALUE)
AND XMLExists('/PurchaseOrder[User="SBELL"]' PASSING OBJECT_VALUE);
Example 6-26 shows the creation of an XMLIndex index that has only a structured component (no path table clause) and that uses the XMLNamespaces clause to specify namespaces. The example assumes a binary XML table po_binxml with non XML schema-based data.
Example 6-26 XMLIndex with Only a Structured Component and using Namespaces
CREATE INDEX po_struct ON po_binxml (OBJECT_VALUE) INDEXTYPE IS XDB.XMLIndex
PARAMETERS ('XMLTable po_ptab
XMLNAMESPACES(DEFAULT ''http://www.example.com/po''),
''/purchaseOrder''
COLUMNS orderdate DATE PATH ''@orderDate'',
id BINARY_DOUBLE PATH ''@id'',
items XMLType PATH ''items/item'' VIRTUAL
XMLTable li_tab
XMLNAMESPACES(DEFAULT ''http://www.example.com/po''),
''/item'' PASSING items
COLUMNS partnum VARCHAR2(15) PATH ''@partNum'',
description CLOB PATH ''productName'',
usprice BINARY_DOUBLE PATH ''USPrice'',
shipdat DATE PATH ''shipDate''');
See Also:
Example 6-30, "Using a Structured XMLIndex Component for a Query with Two Predicates"
"Usage of XMLIndex_xmltable_clause" for information about an XMLType column in an XMLTable clause
"Usage of column_clause" for information about keywords COLUMNS and VIRTUAL
"Data Type Considerations for XMLIndex Structured Component"
It is at query compile time that Oracle Database determines whether or not a given XMLIndex index can be used, that is, whether the query can be rewritten into a query against the index.
For an unstructured XMLIndex component, if it cannot be determined at compile time that an XPath expression in the query is a subset of the paths you specified to be used for XMLIndex indexing, then the unstructured component of the index is not used.
For example, if the path /PurchaseOrder/LineItems//* is included for indexing, then a query with /PurchaseOrder/LineItems/LineItem/Description can use the index, but a query with //Description cannot. The latter also matches potential Description elements that are not children of /PurchaseOrder/LineItems, and it is not possible at compile time to know if such additional Description elements are present in the data.
To know whether a particular XMLIndex index has been used in resolving a query, you can examine an execution plan for the query.
If the unstructured component of the index is used, then its path table, order key, or path id is referenced in the execution plan. The execution plan does not directly indicate that a domain index was used; it does not refer to the XMLIndex index by name. See Example 6-27 and Example 6-29.
If the structured component of the index is used, then one or more of its index content tables is called out in the execution plan. See Example 6-30 and Example 6-31.
Example 6-27 shows that the XMLIndex index created in Example 6-11 is used in a particular query. The reference to MY_PATH_TABLE in the execution plan here indicates that the XMLIndex index (created in Example 6-11) is used in this query. Similarly, reference to columns LOCATOR, ORDER_KEY, and PATHID indicates the same thing.
Example 6-27 Checking an Execution Plan to See If an XMLIndex Unstructured Component Is Used
SET AUTOTRACE ON EXPLAIN
SELECT XMLQuery('/PurchaseOrder/Requestor' PASSING OBJECT_VALUE RETURNING CONTENT) FROM po_clob
WHERE XMLExists('/PurchaseOrder[Reference="SBELL-2002100912333601PDT"]' PASSING OBJECT_VALUE);
XMLQUERY('/PURCHASEORDER/REQUESTOR'PASSINGOBJECT_VALUERETURNINGCONTENT)
-----------------------------------------------------------------------
<Requestor>Sarah J. Bell</Requestor>
1 row selected.
Execution Plan
. . .
----------------------------------------------------------------------------------------------------------------
| Id | Operation | Name | Rows | Bytes | Cost (%CPU)| Time |
----------------------------------------------------------------------------------------------------------------
| 0 | SELECT STATEMENT | | 1 | 24 | 28 (4)| 00:00:01 |
| 1 | SORT GROUP BY | | 1 | 3524 | | |
|* 2 | TABLE ACCESS BY INDEX ROWID | MY_PATH_TABLE | 2 | 7048 | 3 (0)| 00:00:01 |
|* 3 | INDEX RANGE SCAN | SYS67616_PO_XMLINDE_PIKEY_IX | 1 | | 2 (0)| 00:00:01 |
| 4 | NESTED LOOPS | | 1 | 24 | 28 (4)| 00:00:01 |
| 5 | VIEW | VW_SQ_1 | 1 | 12 | 26 (0)| 00:00:01 |
| 6 | HASH UNIQUE | | 1 | 5046 | | |
| 7 | NESTED LOOPS | | 1 | 5046 | 26 (0)| 00:00:01 |
|* 8 | TABLE ACCESS BY INDEX ROWID| MY_PATH_TABLE | 1 | 3524 | 24 (0)| 00:00:01 |
|* 9 | INDEX RANGE SCAN | SYS67616_PO_XMLINDE_VALUE_IX | 73 | | 1 (0)| 00:00:01 |
|* 10 | TABLE ACCESS BY INDEX ROWID| MY_PATH_TABLE | 1 | 1522 | 2 (0)| 00:00:01 |
|* 11 | INDEX RANGE SCAN | SYS67616_PO_XMLINDE_PIKEY_IX | 1 | | 1 (0)| 00:00:01 |
| 12 | TABLE ACCESS BY USER ROWID | PO_CLOB | 1 | 12 | 1 (0)| 00:00:01 |
----------------------------------------------------------------------------------------------------------------
Predicate Information (identified by operation id):
---------------------------------------------------
2 - filter(SYS_XMLI_LOC_ISNODE("SYS_P0"."LOCATOR")=1)
3 - access("SYS_P0"."RID"=:B1 AND "SYS_P0"."PATHID"=HEXTORAW('76E2') )
8 - filter("SYS_P4"."VALUE"='SBELL-2002100912333601PDT' AND "SYS_P4"."PATHID"=HEXTORAW('4F8C') AND
SYS_XMLI_LOC_ISNODE("SYS_P4"."LOCATOR")=1)
9 - access(SUBSTRB("VALUE",1,1599)='SBELL-2002100912333601PDT')
10 - filter(SYS_XMLI_LOC_ISNODE("SYS_P2"."LOCATOR")=1)
11 - access("SYS_P4"."RID"="SYS_P2"."RID" AND "SYS_P2"."PATHID"=HEXTORAW('4E36') AND
"SYS_P2"."ORDER_KEY"<"SYS_P4"."ORDER_KEY")
filter("SYS_P4"."ORDER_KEY"<SYS_ORDERKEY_MAXCHILD("SYS_P2"."ORDER_KEY") AND
SYS_ORDERKEY_DEPTH("SYS_P2"."ORDER_KEY")+1=SYS_ORDERKEY_DEPTH("SYS_P4"."ORDER_KEY"))
. . .
Given the name of a path table from an execution plan such as this, you can obtain the name of its XMLIndex index as shown in Example 6-28. (This is more or less opposite to the query in Example 6-12.)
Example 6-28 Obtaining the Name of an XMLIndex Index from Its Path-Table Name
SELECT INDEX_NAME FROM USER_XML_INDEXES WHERE PATH_TABLE_NAME = 'MY_PATH_TABLE'; INDEX_NAME ------------------------------ PO_XMLINDEX_IX 1 row selected.
XMLIndex can be used for XPath expressions in the SELECT list, the FROM list, and the WHERE clause of a query, and it is useful for SQL/XML functions XMLQuery, XMLTable, XMLExists, and XMLCast. Unlike function-based indexes (and CTXXPath indexes, which are deprecated), XMLIndex indexes can be used when you extract data from an XML fragment in a document.
Example 6-29 illustrates this.
Example 6-29 Extracting Data from an XML Fragment using XMLIndex
SET AUTOTRACE ON EXPLAIN
SELECT li.description, li.itemno
FROM po_clob, XMLTable('/PurchaseOrder/LineItems/LineItem'
PASSING OBJECT_VALUE
COLUMNS "DESCRIPTION" VARCHAR(40) PATH 'Description',
"ITEMNO" INTEGER PATH '@ItemNumber') li
WHERE XMLExists('/PurchaseOrder[Reference="SBELL-2002100912333601PDT"]'
PASSING OBJECT_VALUE);
DESCRIPTION ITEMNO
---------------------------------------- ----------
A Night to Remember 1
The Unbearable Lightness Of Being 2
Sisters 3
3 rows selected.
Execution Plan
----------------------------------------------------------------------------------------------------------------
| Id | Operation | Name | Rows | Bytes |Cost (%CPU)| Time |
----------------------------------------------------------------------------------------------------------------
| 0 | SELECT STATEMENT | | 1 | 1546 | 30 (4)|00:00:01 |
|* 1 | FILTER | | | | | |
|* 2 | TABLE ACCESS BY INDEX ROWID | MY_PATH_TABLE | 1 | 3524 | 3 (0)|00:00:01 |
|* 3 | INDEX RANGE SCAN | SYS67616_PO_XMLINDE_PIKEY_IX | 1 | | 2 (0)|00:00:01 |
|* 4 | FILTER | | | | | |
|* 5 | TABLE ACCESS BY INDEX ROWID | MY_PATH_TABLE | 1 | 3524 | 3 (0)|00:00:01 |
|* 6 | INDEX RANGE SCAN | SYS67616_PO_XMLINDE_PIKEY_IX | 1 | | 2 (0)|00:00:01 |
| 7 | NESTED LOOPS | | | | | |
| 8 | NESTED LOOPS | | 1 | 1546 | 30 (4)|00:00:01 |
| 9 | NESTED LOOPS | | 1 | 24 | 28 (4)|00:00:01 |
| 10 | VIEW | VW_SQ_1 | 1 | 12 | 26 (0)|00:00:01 |
| 11 | HASH UNIQUE | | 1 | 5046 | | |
| 12 | NESTED LOOPS | | 1 | 5046 | 26 (0)|00:00:01 |
|* 13 | TABLE ACCESS BY INDEX ROWID| MY_PATH_TABLE | 1 | 3524 | 24 (0)|00:00:01 |
|* 14 | INDEX RANGE SCAN | SYS67616_PO_XMLINDE_VALUE_IX | 73 | | 1 (0)|00:00:01 |
|* 15 | TABLE ACCESS BY INDEX ROWID| MY_PATH_TABLE | 1 | 1522 | 2 (0)|00:00:01 |
|* 16 | INDEX RANGE SCAN | SYS67616_PO_XMLINDE_PIKEY_IX | 1 | | 1 (0)|00:00:01 |
| 17 | TABLE ACCESS BY USER ROWID | PO_CLOB | 1 | 12 | 1 (0)|00:00:01 |
|* 18 | INDEX RANGE SCAN | SYS67616_PO_XMLINDE_PIKEY_IX | 1 | | 1 (0)|00:00:01 |
|* 19 | TABLE ACCESS BY INDEX ROWID | MY_PATH_TABLE | 1 | 1522 | 2 (0)|00:00:01 |
----------------------------------------------------------------------------------------------------------------
Predicate Information (identified by operation id):
---------------------------------------------------
1 - filter(:B1<SYS_ORDERKEY_MAXCHILD(:B2))
2 - filter(SYS_XMLI_LOC_ISNODE("SYS_P2"."LOCATOR")=1)
3 - access("SYS_P2"."RID"=:B1 AND "SYS_P2"."PATHID"=HEXTORAW('28EC') AND "SYS_P2"."ORDER_KEY">:B2 AND
"SYS_P2"."ORDER_KEY"<SYS_ORDERKEY_MAXCHILD(:B3))
filter(SYS_ORDERKEY_DEPTH("SYS_P2"."ORDER_KEY")=SYS_ORDERKEY_DEPTH(:B1)+1)
4 - filter(:B1<SYS_ORDERKEY_MAXCHILD(:B2))
5 - filter(SYS_XMLI_LOC_ISNODE("SYS_P5"."LOCATOR")=1)
6 - access("SYS_P5"."RID"=:B1 AND "SYS_P5"."PATHID"=HEXTORAW('60E0') AND "SYS_P5"."ORDER_KEY">:B2 AND
"SYS_P5"."ORDER_KEY"<SYS_ORDERKEY_MAXCHILD(:B3))
filter(SYS_ORDERKEY_DEPTH("SYS_P5"."ORDER_KEY")=SYS_ORDERKEY_DEPTH(:B1)+1)
13 - filter("SYS_P10"."VALUE"='SBELL-2002100912333601PDT' AND "SYS_P10"."PATHID"=HEXTORAW('4F8C') AND
SYS_XMLI_LOC_ISNODE("SYS_P10"."LOCATOR")=1)
14 - access(SUBSTRB("VALUE",1,1599)='SBELL-2002100912333601PDT')
15 - filter(SYS_XMLI_LOC_ISNODE("SYS_P8"."LOCATOR")=1)
16 - access("SYS_P10"."RID"="SYS_P8"."RID" AND "SYS_P8"."PATHID"=HEXTORAW('4E36') AND
"SYS_P8"."ORDER_KEY"<"SYS_P10"."ORDER_KEY")
filter("SYS_P10"."ORDER_KEY"<SYS_ORDERKEY_MAXCHILD("SYS_P8"."ORDER_KEY") AND
SYS_ORDERKEY_DEPTH("SYS_P8"."ORDER_KEY")+1=SYS_ORDERKEY_DEPTH("SYS_P10"."ORDER_KEY"))
18 - access("PO_CLOB".ROWID="SYS_ALIAS_4"."RID" AND "SYS_ALIAS_4"."PATHID"=HEXTORAW('3748') )
19 - filter(SYS_XMLI_LOC_ISNODE("SYS_ALIAS_4"."LOCATOR")=1)
Note
-----
- dynamic sampling used for this statement (level=2)
The execution plan for the query in Example 6-29 shows, by referring to the path table, that XMLIndex is used. It also shows the use of Oracle internal SQL function sys_orderkey_depth — see "Guidelines for Using XMLIndex with an Unstructured Component".
Example 6-30 shows an execution plan that indicates that the XMLIndex index created in Example 6-22 is picked up for a query that uses two WHERE clause predicates. With only the unstructured XMLIndex component, this query would involve a join of the path table to itself, because of the two different paths in the WHERE clause.
Example 6-30 Using a Structured XMLIndex Component for a Query with Two Predicates
EXPLAIN PLAN FOR
SELECT XMLQuery('/PurchaseOrder/LineItems/LineItem' PASSING OBJECT_VALUE RETURNING CONTENT)
FROM po_clob
WHERE XMLExists('/PurchaseOrder/LineItems/LineItem
[ora:contains(Description, "Picnic") > 0]' PASSING OBJECT_VALUE)
AND XMLEXists('/PurchaseOrder[User="SBELL"]' PASSING OBJECT_VALUE);
-------------------------------------------------------------------------------------------------------------
| Id | Operation | Name | Rows | Bytes | Cost (%CPU)| Time |
-------------------------------------------------------------------------------------------------------------
| 0 | SELECT STATEMENT | | 1 | 189 | 22 (14)| 00:00:01 |
| 1 | SORT GROUP BY | | 1 | 3524 | | |
|* 2 | TABLE ACCESS BY INDEX ROWID| PATH_TAB | 2 | 7048 | 3 (0)| 00:00:01 |
|* 3 | INDEX RANGE SCAN | SYS67840_PO_XMLINDE_PIKEY_IX | 1 | | 2 (0)| 00:00:01 |
|* 4 | HASH JOIN SEMI | | 1 | 189 | 22 (14)| 00:00:01 |
| 5 | NESTED LOOPS | | 13 | 637 | 4 (25)| 00:00:01 |
| 6 | SORT UNIQUE | | 13 | 351 | 3 (0)| 00:00:01 |
|* 7 | TABLE ACCESS FULL | PO_IDX_TAB | 13 | 351 | 3 (0)| 00:00:01 |
|* 8 | INDEX UNIQUE SCAN | SYS_C006004 | 1 | 22 | 0 (0)| 00:00:01 |
|* 9 | TABLE ACCESS FULL | PO_INDEX_LINEITEM | 13 | 1820 | 17 (6)| 00:00:01 |
-------------------------------------------------------------------------------------------------------------
Predicate Information (identified by operation id):
---------------------------------------------------
2 - filter(SYS_XMLI_LOC_ISNODE("SYS_P0"."LOCATOR")=1)
3 - access("SYS_P0"."RID"=:B1 AND "SYS_P0"."PATHID"=HEXTORAW('3748') )
4 - access("SYS_ALIAS_1"."SYS_NC_OID$"="SYS_ALIAS_3"."OID")
7 - filter("SYS_ALIAS_2"."USERNAME"='SBELL')
8 - access("SYS_ALIAS_1"."SYS_NC_OID$"="SYS_ALIAS_2"."OID")
9 - filter(SYS_XMLCONTAINS("SYS_ALIAS_3"."DESCRIPTION",'Picnic')>0)
Note
-----
- dynamic sampling used for this statement (level=2)
30 rows selected.
The presence in Example 6-30 of the path table name, path_tab, indicates that the unstructured index component of the index is used. The presence of the index content table po_idx_tab indicates that the structured index component is used.
Example 6-31 shows an execution plan that indicates that the same XMLIndex index is also picked up for a query that uses multilevel XMLTable chaining. With only the unstructured XMLIndex component, this query too would involve a join of the path table to itself, because of the different paths in the two XMLTable function calls.
Example 6-31 Using a Structured XMLIndex Component for a Query with Multilevel Chaining
EXPLAIN PLAN FOR
SELECT po.reference, li.*
FROM po_clob p,
XMLTable('/PurchaseOrder' PASSING p.OBJECT_VALUE
COLUMNS reference VARCHAR2(30) PATH 'Reference',
lineitem XMLType PATH 'LineItems/LineItem') po,
XMLTable('/LineItem' PASSING po.lineitem
COLUMNS itemno BINARY_DOUBLE PATH '@ItemNumber',
description VARCHAR2(256) PATH 'Description',
partno VARCHAR2(14) PATH 'Part/@Id',
quantity BINARY_DOUBLE PATH 'Part/@Quantity',
unitprice BINARY_DOUBLE PATH 'Part/@UnitPrice') li
WHERE po.reference = 'SBELL-20021009123335280PDT';
-------------------------------------------------------------------------------------------------------
| Id | Operation | Name | Rows | Bytes | Cost (%CPU)| Time |
-------------------------------------------------------------------------------------------------------
| 0 | SELECT STATEMENT | | 17 | 20366 | 11 (0)| 00:00:01 |
| 1 | NESTED LOOPS | | | | | |
| 2 | NESTED LOOPS | | 17 | 20366 | 11 (0)| 00:00:01 |
| 3 | NESTED LOOPS | | 1 | 539 | 3 (0)| 00:00:01 |
|* 4 | TABLE ACCESS FULL | PO_IDX_TAB | 1 | 529 | 3 (0)| 00:00:01 |
|* 5 | INDEX UNIQUE SCAN | SYS_C006320 | 1 | 10 | 0 (0)| 00:00:01 |
|* 6 | INDEX RANGE SCAN | SYS69412_69421_PKY_IDX | 17 | | 1 (0)| 00:00:01 |
| 7 | TABLE ACCESS BY INDEX ROWID| PO_INDEX_LINEITEM | 17 | 11203 | 8 (0)| 00:00:01 |
-------------------------------------------------------------------------------------------------------
Predicate Information (identified by operation id):
---------------------------------------------------
4 - filter("SYS_ALIAS_8"."REFERENCE"='SBELL-20021009123335280PDT')
5 - access("SYS_ALIAS_8"."OID"="P"."SYS_NC_OID$")
6 - access("SYS_ALIAS_8"."KEY"="SYS_ALIAS_9"."PKEY")
Note
-----
- dynamic sampling used for this statement
25 rows selected.
The execution plan shows direct access to the relational index content tables, po_idx_tab and po_index_lineitem. There is no access at all to the path table, path_tab.
You can turn off the use of XMLIndex in any of these ways:
Use optimizer hint /*+ NO_XML_QUERY_REWRITE */
Use optimizer hint /*+ NO_XMLINDEX_REWRITE */
Hints NO_XML_QUERY_REWRITE and NO_XMLINDEX_REWRITE turn off the use of all XMLIndex indexes. In addition to turning off use of XMLIndex, NO_XML_QUERY_REWRITE turns off all XPath rewrite (XMLIndex is part of XPath rewrite).
Example 6-32 shows the use of these optimizer hints.
Example 6-32 Turning Off XMLIndex using Optimizer Hints
SELECT /*+ NO_XMLINDEX_REWRITE */ count(*) FROM po_clob WHERE XMLExists('$p/*' PASSING OBJECT_VALUE AS "p"); SELECT /*+ NO_XML_QUERY_REWRITE */ count(*) FROM po_clob WHERE XMLExists('$p/*' PASSING OBJECT_VALUE AS "p");
Note:
TheNO_INDEX optimizer hint does not apply to XMLIndex.See Also:
"How Oracle XML DB Processes XMLType Methods and SQL Functions" for information about streaming evaluation of binary XML dataOne of the advantages of an XMLIndex index with an unstructured component is that it is very general: you need not specify which XPath locations to index; you need no prior knowledge of the XPath expressions that will be queried. By default, an unstructured XMLIndex indexes all possible XPath locations in your XML data.
However, if you are aware of the XPath expressions that you are most likely to query, then you can narrow the focus of XMLIndex indexing and thus improve performance. Having fewer indexed nodes means less space is required for indexing, which improves index maintenance during DML operations. Having fewer indexed nodes improves DDL performance, and having a smaller path table improves query performance.
You narrow the focus of indexing by pruning the set of XPath expressions (paths) corresponding to XML fragments to be indexed, specifying a subset of all possible paths. You can do this in two alternative ways:
Exclusion – Start with the default behavior of including all possible XPath expressions, and exclude some of them from indexing.
Inclusion – Start with an empty set of XPath expressions to be used in indexing, and add paths to this inclusion set.
You can specify path subsetting either when you create an XMLIndex index using CREATE INDEX or when you modify it using ALTER INDEX. In both cases, you provide the subsetting information in the PATHS parameter of the statement's PARAMETERS clause. For exclusion, you use keyword EXCLUDE. For inclusion, you use keyword INCLUDE for ALTER INDEX and no keyword for CREATE INDEX (list the paths to include). You can also specify namespace mappings for the nodes targeted by the PATHS parameter.
For ALTER INDEX, keyword INCLUDE or EXCLUDE is followed by keyword ADD or REMOVE, to indicate whether the list of paths that follows the keyword is to be added or removed from the inclusion or exclusion list. For example, this statement adds path /PurchaseOrder/Reference to the list of paths to be excluded from indexing:
ALTER INDEX po_xmlindex_ix REBUILD
PARAMETERS ('PATHS (EXCLUDE ADD (/PurchaseOrder/Reference))');
To alter an XMLIndex index so that it includes all possible paths, use keyword INDEX_ALL_PATHS. See "alter_index_paths_clause ::=".
Note:
If you create anXMLIndex index that has both structured and unstructured components, then, by default, any nodes indexed in the structured component are also indexed in the unstructured component; that is, they are not automatically excluded from the unstructured component. If you do not want unstructured XMLIndex indexing to apply to them, then you must explicitly use path subsetting to exclude them.See Also:
"PARAMETERS Clause for CREATE INDEX and ALTER INDEX" for the syntax of thePARAMETERS clauseThis section presents some examples of defining XMLIndex indexes on subsets of XPath expressions.
Example 6-33 XMLIndex Path Subsetting with CREATE INDEX
CREATE INDEX po_xmlindex_ix ON po_clob (OBJECT_VALUE) INDEXTYPE IS XDB.XMLINDEX
PARAMETERS ('PATHS (INCLUDE (/PurchaseOrder/LineItems//*
/PurchaseOrder/Reference))');
This statement creates an index that indexes only top-level element PurchaseOrder and some of its children, as follows:
All LineItems elements and their descendants
All Reference elements
It does that by including the specified paths, starting with an empty set of paths to be used for the index.
Example 6-34 XMLIndex Path Subsetting with ALTER INDEX
ALTER INDEX po_xmlindex_ix REBUILD
PARAMETERS ('PATHS (INCLUDE ADD (/PurchaseOrder/Requestor
/PurchaseOrder/Actions/Action//*))');
This statement adds two more paths to those used for indexing. These paths index element Requestor and descendants of element Action (as well as their ancestors).
Example 6-35 XMLIndex Path Subsetting using a Namespace Prefix
If an XPath expression to be used for XMLIndex indexing uses namespace prefixes, you can use a NAMESPACE MAPPING clause to the PATHS list, to specify those prefixes. Here is an example:
CREATE INDEX po_xmlindex_ix ON po_clob (OBJECT_VALUE) INDEXTYPE IS XDB.XMLIndex
PARAMETERS ('PATHS (INCLUDE (/PurchaseOrder/LineItems//* /PurchaseOrder/ipo:Reference)
NAMESPACE MAPPING (xmlns="http://xmlns.oracle.com"
xmlns:ipo="http://xmlns.oracle.com/ipo"))');
The following rules apply to XMLIndex path subsetting:
The paths must reference only child and descendant axes, and they must test only element and attribute nodes or their names (possibly using wildcards). In particular, the paths must not involve predicates.
You cannot specify both path exclusion and path inclusion; choose one or the other.
If an index was created using path exclusion (inclusion), then you can modify it using only path exclusion (inclusion) — index modification must either further restrict or further extend the path subset. For example, you cannot create an index that includes certain paths and subsequently modify it to exclude certain paths.
The following are some guidelines for using XMLIndex with an unstructured component. These guidelines are applicable only when the two alternatives discussed return the same result set.
Avoid prefixing // with ancestor elements. For example, use //c, not /a/b//c, provided these return the same result set.
Avoid prefixing /* with ancestor elements. For example, use /*/*/*, not /a/*/*, provided these return the same result set.
In a WHERE clause, use XMLExists rather than XMLCast of XMLQuery. This can allow optimization that, in effect, invokes a subquery against the path-table VALUE column. For example, use this:
SELECT count(*) FROM purchaseorder p
WHERE
XMLExists('$p/PurchaseOrder/LineItems/LineItem/Part[@Id="715515011020"]'
PASSING OBJECT_VALUE AS "p");
Do not use this:
SELECT count(*) FROM purchaseorder p
WHERE XMLCast(XMLQuery('$p/PurchaseOrder/LineItems/LineItem/Part/@Id'
PASSING OBJECT_VALUE AS "p" RETURNING CONTENT)
AS VARCHAR2(14))
= "715515011020";
When possible, use count(*), not count(XMLCast(XMLQuery(...)), in a SELECT clause. For example, if you know that a LineItem element in a purchase-order document has only one Description child, use this:
SELECT count(*) FROM po_clob, XMLTable('//LineItem' PASSING OBJECT_VALUE);
Do not use this:
SELECT count(li.value)
FROM po_clob p, XMLTable('//LineItem' PASSING p.OBJECT_VALUE
COLUMNS value VARCHAR2(30) PATH 'Description') li;
Reduce the number of XPath expressions used in a query FROM list as much as possible. For example, use this:
SELECT li.description
FROM po_clob p,
XMLTable('PurchaseOrder/LineItems/LineItem' PASSING p.OBJECT_VALUE
COLUMNS description VARCHAR2(256) PATH 'Description') li;
Do not use this:
SELECT li.description
FROM po_clob p,
XMLTable('PurchaseOrder/LineItems' PASSING p.OBJECT_VALUE) ls,
XMLTable('LineItems/LineItem' PASSING ls.OBJECT_VALUE
COLUMNS description VARCHAR2(256) PATH 'Description') li;
If you use an XPath expression in a query to drill down inside a virtual table (created, for example, using SQL/XML function XMLTable), then create a secondary index on the order key of the path table using Oracle SQL function sys_orderkey_depth. Here is an example of such a query; the selection navigates to element Description inside virtual line-item table li.
SELECT li.description
FROM po_clob p,
XMLTable('PurchaseOrder/LineItems/LineItem' PASSING p.OBJECT_VALUE
COLUMNS description VARCHAR2(256) PATH 'Description') li;
Such queries are evaluated using function sys_orderkey_depth, which returns the depth of the order-key value. Because the order index uses two columns, the index needed is a composite index over columns ORDER_KEY and RID, as well as over function sys_orderkey_depth applied to the ORDER_KEY value. For example:
CREATE INDEX depth_ix ON my_path_table (RID, sys_orderkey_depth(ORDER_KEY), ORDER_KEY);
A database administrator (DBA) can create an XMLIndex index on resources in Oracle XML DB Repository to improve querying of XML data or metadata (system-defined or user-defined). An XMLIndex index on the repository contains only an unstructured component, not a structured component.
Only user SYS can create an XMLIndex index on Oracle XML DB Repository. After creating such an index, restrict it to those resources that will actually be queried.
You cannot index resources that contain a REF (in their contents or metadata) to a row in a view or to a row in a table that is not hierarchy-enabled. An attempt to do so raises an error.
Follow this procedure as a database administrator to create an XMLIndex index on specific repository resources:
Create the XMLIndex index on the repository. This excludes repository paths /Resource/ACL, /Resource/RefCount, and /Resource/RCList from the index created. It creates the path table and all secondary indexes, but it does not index any resources.
CALL DBMS_XDB_ADMIN.CreateRepositoryXMLIndex();
No resources are indexed at this point. They are indexed after step 2.
Specify the repository resources to index, by repository path. You use PL/SQL procedure XMLIndexAddPath in package DBMS_XDB_ADMIN to do this.
DBMS_XDB_ADMIN.XMLIndexAddPath(<path to index>, <disable secondary indexes?>);
The first parameter to XMLIndexAddPath is a repository path expression that targets a resource (file or folder) to index. (Note: A repository path expression is not an XPath expression.) The second parameter is a Boolean value that, if TRUE, disables loading of the path-table secondary indexes during the execution of XMLIndexAddPath. Set this to TRUE only if there are few existing rows in the path table and you are adding many new rows. Disabling the secondary indexes while a path is being indexed prevents updating of the path table index, specifically, loading (populating) of the secondary indexes each time a row is added to it. This can speed up bulk loading of resources.
To drop an XMLIndex index created on the repository, do this:
CALL DBMS_XDB_ADMIN.DropRepositoryXMLIndex();
See Also:
Chapter 21, "Accessing Oracle XML DB Repository Data" for information on repository resources and resource paths
Oracle Database PL/SQL Packages and Types Reference for information on the procedures in PL/SQL package DBMS_XDB_ADMIN
Follow this procedure as a database administrator to remove a resource from indexing:
Repeat this procedure for each ancestor of the resource, to first remove them from indexing. You cannot remove a resource from indexing until you have first removed all of its ancestors from indexing.
Specify the repository resource to be removed from indexing, by repository path. You use PL/SQL procedure XMLIndexRemovePath in package DBMS_XDB_ADMIN to do this.
DBMS_XDB_ADMIN.XMLIndexRemovePath(<path to index>, <recursively?>);
The first parameter to XMLIndexRemovePath is a repository path expression that targets a resource to remove from indexing. The second parameter is a Boolean value that, if TRUE, removes the targeted resource and all of its descendants from indexing; if FALSE, only the targeted resource is removed from indexing.
See Also:
Oracle Database PL/SQL Packages and Types Reference for information on PL/SQL procedureDBMS_XDB_ADMIN.XMLIndexREmovePathFor an XMLIndex on repository data or metadata to be used when you query the repository, all of the targeted resources must be indexed. Use Oracle SQL functions under_path and equals_path to target resources by repository path when you query. If you do not use either of these functions, then under_path('/') is implied.
Example 6-36 presents a query of resource data, PurchaseOrder elements whose Reference element has value TFOX-20021009123335520PDT.
Example 6-36 Using XMLIndex When Querying Resource Data
SELECT ANY_PATH FROM RESOURCE_VIEW
WHERE XMLExists('declare namespace r = "http://xmlns.oracle.com/xdb/XDBResource.xsd"; (: :)
/r:Resource/r:Contents/PurchaseOrder[Reference="TFOX-20021009123335520PDT"]'
PASSING RES)
AND under_path (RES, '/home/OE/PurchaseOrders/2002/') = 1;
ANY_PATH
--------------------------------------------------------------
/home/OE/PurchaseOrders/2002/Jan/TFOX-20021009123335520PDT.xml
1 row selected.
The under_path expression here limits the paths queried so that they include only data indexed using XMLIndex. The XMLExists expression targets XML nodes using an XPath expression.
You can query repository metadata similarly. To do that, simply target resource elements that represent metadata, either system-defined or user-defined. Example 6-37 shows a query of the CreationDate element in system metadata.
Example 6-37 Using XMLIndex When Querying Resource Metadata
SELECT ANY_PATH FROM RESOURCE_VIEW
WHERE XMLExists('declare namespace r = "http://xmlns.oracle.com/xdb/XDBResource.xsd"; (: :)
/r:Resource/r:CreationDate/text()=xs:dateTime("2005-02-07T18:31:53.093179")'
PASSING RES)
AND under_path (RES, '/home/OE/PurchaseOrders/2002/') = 1;
ANY_PATH
-----------------------------------------------------------------
/home/OE/PurchaseOrders/2002/Apr
/home/OE/PurchaseOrders/2002/Apr/AMCEWEN-20021009123336171PDT.xml
/home/OE/PurchaseOrders/2002/Apr/AMCEWEN-20021009123336271PDT.xml
/home/OE/PurchaseOrders/2002/Apr/EABEL-20021009123336251PDT.xml
/home/OE/PurchaseOrders/2002/Apr/PTUCKER-20021009123336191PDT.xml
/home/OE/PurchaseOrders/2002/Apr/PTUCKER-20021009123336291PDT.xml
. . .
144 rows selected.
Only user SYS can drop an XMLIndex index created on Oracle XML DB Repository. To drop an XMLIndex index created on the repository, do this:
CALL DBMS_XDB_ADMIN.DropRepositoryXMLIndex();
See Also:
Oracle Database PL/SQL Packages and Types Reference for information on PL/SQL procedureDBMS_XDB_ADMIN.DropRepositoryXMLIndexIf you partition an XMLType table, or a table with an XMLType column using range or list partitioning, you can also create an XMLIndex index on the table. If you use the keyword LOCAL when you create the XMLIndex index, then the index and all of its storage tables are locally equipartitioned with respect to the base table.
If you do not use the keyword LOCAL, then you cannot create an XMLIndex index on a partitioned table. Also, if you hash-partition a table, then you cannot create an XMLIndex index on it.
You can use a PARALLEL clause (with optional degree) when creating or altering an XMLIndex index to ensure that index creation and maintenance are carried out in parallel. If the base table is partitioned or enabled for parallelism, then this can improve the performance for both DML operations (INSERT, UPDATE, DELETE) and index DDL operations (CREATE, ALTER, REBUILD).
Specifying parallelism for an index can also consume more storage, because storage parameters apply separately to each query server process. For example, an index created with an INITIAL value of 5M and a parallelism degree of 12 consumes at least 60M of storage during index creation.
The syntax for the parallelism clause for CREATE INDEX and ALTER INDEX is the same as for other domain indexes:
{ NOPARALLEL | PARALLEL [ integer ] }
Example 6-38 creates an XMLIndex index with a parallelism degree of 10. If the base table is partitioned, then this index is equipartitioned.
Example 6-38 Creating an XMLIndex Index in Parallel
CREATE INDEX po_xmlindex_ix ON sale_info (sale_po_clob) INDEXTYPE IS XDB.XMLIndex
LOCAL PARALLEL 10;
In Example 6-38, the path table and the secondary indexes are created with the same parallelism degree as the XMLIndex index itself, 10, by inheritance. You can specify different parallelism degrees for these by using separate PARALLEL clauses. Example 6-39 demonstrates this. Again, because of keyword LOCAL, if the base table is partitioned, then this index is equipartitioned.
Example 6-39 Using Different PARALLEL Degrees for XMLIndex Internal Objects
CREATE INDEX po_xmlindex_ix ON sale_info (sale_po_clob) INDEXTYPE IS XDB.XMLIndex
LOCAL PARAMETERS ('PATH TABLE po_path_table (PARALLEL 10)
PIKEY INDEX po_pikey_ix
VALUE INDEX po_value_ix (PARALLEL 5)') NOPARALLEL;
In Example 6-39, the XMLIndex index itself is created serially, because of NOPARALLEL. The secondary index po_pikey_ix is also populated serially, because no parallelism is specified explicitly for it; it inherits the parallelism of the XMLIndex index. The path table itself is created with a parallelism degree of 10, and the secondary index value column, po_value_ix, is populated with a degree of 5, due to their explicit parallelism specifications.
Any parallelism you specify for an XMLIndex index, its path table, or its secondary indexes is exploited during subsequent DML operations and queries.
Note that there are two places where you can specify parallelism for XMLIndex: within the PARAMETERS clause parenthetical expression and after it. Parallel specification inside the parentheses applies only to the unstructured component of an XMLIndex index.
See Also:
Oracle Database SQL Language Reference for information on the CREATE INDEX parallel clause
"PARAMETERS Clause for CREATE INDEX and ALTER INDEX" for the syntax of the PARAMETERS clause
This feature applies to an XMLIndex index that has only an unstructured component. If you specify asynchronous maintenance for an XMLIndex index that has a structured component, then an error is raised.
By default, XMLIndex indexing is updated (maintained) at each DML operation, so that it remains in sync with the base table. In some situations, you might not require this, and using possibly stale indexes might be acceptable. In that use case, you can decide to defer the cost of index maintenance, performing at commit time only or at some time when database load is reduced. This can improve DML performance. It can also improve index maintenance performance by enabling bulk loading of unsynchronized index rows when an index is synchronized.
Using a stale index has no effect, other than performance, on DML operations. It can have an effect on query results, however: If the index is not up-to-date at query time, then the query results might not be up-to-date either. Even if only one column of a base table is of data type XMLType, all queries on that table reflect the database data as of the last synchronization of the XMLIndex index on the XMLType column.
You can specify index maintenance deferment using the parameters clause of a CREATE INDEX or ALTER INDEX statement.
Be aware that even if you defer synchronization for an XMLIndex index, the following database operations automatically synchronize the index:
Any DDL operation on the index – ALTER INDEX or creation of secondary indexes
Any DDL operation on the base table – ALTER TABLE or creation of another index
Table 6-7 lists the synchronization options and the ASYNC clause syntax you use to specify them. The ASYNC clause is used in the PARAMETERS clause of a CREATE INDEX or ALTER INDEX statement for XMLIndex.
Table 6-7 Index Synchronization
| When to Synchronize | ASYNC Clause Syntax |
|---|---|
|
Always |
This is the default behavior. You can specify it explicitly, to cancel a previous |
|
Upon commit |
|
|
Periodically |
To use |
|
Manually, on demand |
You can manually synchronize the index using PL/SQL procedure |
Optional ASYNC syntax parameter STALE is intended for possible future use; you need never specify it explicitly. It has value FALSE whenever ALWAYS is used; otherwise it has value TRUE. Specifying an explicit STALE value that contradicts this rule raises an error.
Example 6-40 creates an XMLIndex index that is synchronized every Monday at 3:00 pm, starting tomorrow.
Example 6-40 Specifying Deferred Synchronization for XMLIndex
CREATE INDEX po_xmlindex_ix ON po_clob (OBJECT_VALUE) INDEXTYPE IS XDB.XMLIndex
PARAMETERS ('ASYNC (SYNC EVERY "FREQ=HOURLY; INTERVAL = 1")');
Example 6-41 manually synchronizes the index created in Example 6-40.
Example 6-41 Manually Synchronizing an XMLIndex Index using SYNCINDEX
EXEC DBMS_XMLINDEX.SyncIndex('OE', 'PO_XMLINDEX_IX', REINDEX => TRUE);
When XMLIndex index synchronization is deferred, all DML changes (inserts, updates, and deletions) made to the base table since the last index synchronization are recorded in a pending table, one row per DML operation. The name of this table is the value of column PEND_TABLE_NAME of static public views USER_XML_INDEXES, ALL_XML_INDEXES, and DBA_XML_INDEXES.
You can examine this table to determine when synchronization might be appropriate for a given XMLIndex index. The more rows there are in the pending table, the more the index is likely to be in need of synchronization.
If the pending table is large, then setting parameter REINDEX to TRUE when calling SyncIndex, as in Example 6-41, can improve performance. When REINDEX is TRUE, all of the secondary indexes are dropped and then re-created after the pending table data is bulk-loaded.
See Also:
Oracle Database PL/SQL Packages and Types Reference, section "Calendaring Syntax", for the syntax of repeat_interval
Oracle Database PL/SQL Packages and Types Reference for information on PL/SQL procedure DBMS_XMLINDEX.SyncIndex
The Oracle Database cost-based optimizer determines how to most cost-effectively evaluate a given query, including which indexes, if any, to use. For it to be able to do this accurately, you must collect statistics on various database objects.
For XMLIndex, you normally need to collect statistics on only the base table on which the XMLIndex index is defined (using, for example, procedure DBMS_STATS.gather_table_stats). This automatically collects statistics for the XMLIndex index itself, as well as the path table, its secondary indexes, and any structured component content tables and their secondary indexes.
If you delete statistics on the base table (using procedure DBMS_STATS.delete_table_stats), then statistics on the other objects are also deleted. Similarly, if you collect statistics on the XMLIndex index (using procedure DBMS_STATS.gather_index_stats), then statistics are also collected on the path table, its secondary indexes, and any structured component content tables and their secondary indexes.
Example 6-42 collects statistics on the base table po_clob. Statistics are automatically collected on the XMLIndex index, its path table, and the secondary path-table indexes.
Example 6-42 Automatic Collection of Statistics on XMLIndex Objects
CALL DBMS_STATS.gather_table_stats(USER, 'PO_CLOB', ESTIMATE_PERCENT => NULL);
See Also:
"Data Dictionary Static Public Views Related to XMLIndex" for information about database views that record statistics information for anXMLIndex indexInformation about the standard database indexes is available in static public views USER_INDEXES, ALL_INDEXES, and DBA_INDEXES. Similar information about XMLIndex indexes is available in static public views USER_XML_INDEXES, ALL_XML_INDEXES, and DBA_XML_INDEXES.
Table 6-8 describes the columns in each of these views.
Table 6-8 XMLIndex Static Public Views
| Column Name | Type | Description |
|---|---|---|
|
|
|
Asynchronous index updating specification. See "Asynchronous (Deferred) Maintenance of XMLIndex Indexes". |
|
|
|
Path subsetting:
|
|
|
|
Name of the |
|
|
|
Owner of the index. Not available for |
|
|
|
The types of components the index is composed of: |
|
|
|
Information from the If an unstructured If a structured component is present, the |
|
|
|
Name of the |
|
|
|
Name of the table that records base-table DML operations since the last index synchronization. See "Asynchronous (Deferred) Maintenance of XMLIndex Indexes". |
|
|
|
Name of the base table on which the index is defined. |
|
|
|
Owner of the base table on which the index is defined. |
These views provide information about an XMLIndex index, but there is no single catalog view that provides information about the statistics gathered for an XMLIndex index. This statistics information is distributed among the following views:
USER_INDEXES, ALL_INDEXES, DBA_INDEXES – Column LAST_ANALYZED provides the date when the XMLIndex index was last analyzed.
USER_TAB_STATISTICS, ALL_TAB_STATISTICS, DBA_TAB_STATISTICS – Column TABLE_NAME provides information about the structured and unstructured components of an XMLIndex index. For information about the structured or unstructured component, query using the name of the path table or the XMLTable table as TABLE_NAME, respectively.
USER_IND_STATISTICS, ALL_IND_STATISTICS, DBA_IND_STATISTICS – Column INDEX_NAME provides information about each of the secondary indexes for an XMLIndex index. for information about a given secondary index, query using the name of that secondary index as INDEX_NAME.
This section describes the usage and syntax of the PARAMETERS clause for SQL statements CREATE INDEX and ALTER INDEX when used with XMLIndex.
See Also:
Oracle Database SQL Language Reference for the syntax of index_attributes
Oracle Database SQL Language Reference for the syntax of segment_attributes_clause
Oracle Database SQL Language Reference for the syntax of table_properties
Oracle Database SQL Language Reference for the syntax of parallel_clause
Oracle Database SQL Language Reference for additional information about the syntax and semantics of CREATE INDEX
Oracle Database SQL Language Reference for additional information about the syntax and semantics of ALTER INDEX
Oracle Database PL/SQL Packages and Types Reference, section "Calendaring Syntax", for the syntax of repeat_interval
The string value used for the PARAMETERS clause of a CREATE INDEX or ALTER INDEX statement has a 1000-character limit. To get around this limitation, you can use PL/SQL procedures registerParameter and modifyParameter in package DBMS_XMLINDEX.
For each of these procedures, you provide a string of parameters (unlimited in length) and an identifier under which the string is registered. Then, in the index PARAMETERS clause, you provide the identifier preceded by the keyword PARAM, instead of a literal string.
The identifier must already have been registered before you can use it in a CREATE INDEX or ALTER INDEX statement.
XMLIndex_parameters_clause ::=

See Also:
"Usage of XMLIndex_parameters_clause"XMLIndex_parameters ::=
See Also:
"Usage of XMLIndex_parameters"XMLIndex_parameter_clause ::=

unstructured_clause ::=

create_index_paths_clause ::=

alter_index_paths_clause ::=

namespace_mapping_clause ::=
path_table_clause ::=
pikey_clause ::=

path_id_clause ::=

order_key_clause ::=

value_clause ::=

See Also:
"Usage of value_clause"drop_path_table_clause ::=
parallel_clause ::=

structured_clause ::=

async_clause ::=

See Also:
"Usage of async_clause"groups_clause ::=
group_clause ::=
XMLIndex_xmltable_clause ::=

Syntax elements XML_namespaces_clause and XQuery_string are the same as for SQL/XML function XMLTable.
column_clause ::=

Syntax element column_clause is similar, but not identical, to XML_table_column in SQL/XML function XMLTable.
alter_index_group_clause ::=

add_column_clause :==
add_column_options :==

Syntax element XML_namespaces_clause is the same as for SQL/XML function XMLTable. See "XMLTABLE SQL/XML Function in Oracle XML DB".
drop_column_clause :==
drop_column_options :==

When you create an XMLIndex index, if there is no XMLIndex_parameters_clause, then the new index has only an unstructured component. If there is an XMLIndex_parameters_clause, but the PARAMETERS argument is empty (''), then the result is the same: an index with only an unstructured component.
The following considerations apply to using XMLIndex_parameters.
There can be at most one XMLIndex_parameter_clause of each type in XMLIndex_parameters. For example, there can be at most one PATHS clause, at most one path_table_clause, and so on.
If there is no structured_clause when you create an XMLIndex index, then the new index has only an unstructured component. If there is only a structured_clause, then the new index has only a structured component.
The following considerations apply to using the PATHS clause.
There can be at most one PATHS clause in a CREATE INDEX statement. That is, there can be at most one occurrence of PATHS followed by create_index_paths_clause.
Clause create_index_paths_clause is used only with CREATE INDEX; alter_index_paths_clause is used only with ALTER INDEX.
The following considerations apply to using create_index_paths_clause and alter_index_paths_clause.
The INDEX_ALL_PATHS keyword rebuilds the index to include all paths. This keyword is available only for alter_index_paths_clause, not create_index_paths_clause.
An explicit list of paths to index can include wildcards and //.
XPaths_list is a list of one or more XPath expressions, each of which includes only child axis, descendant axis, name test, and wildcard (*) constructs.
If XPaths_list is omitted from create_index_paths_clause, all paths are indexed.
For each unique namespace prefix that is used in an XPath expression in XPaths_list, a standard XML namespace declaration is needed, to provide the corresponding namespace information.
You can change an index in ways that are not reflected directly in the syntax by dropping it and then creating it again as needed. For example, to change an index that was defined by including paths to one that is defined by excluding paths, drop it and then create it using EXCLUDE.
Syntactically, each of the clauses pikey_clause, path_id_clause, and order_key_clause is optional. A pikey index is created even if you do not specify a pikey_clause. To create a path id index or an order-key index, you must specify a path_id_clause or an order_key_clause, respectively.
The following considerations apply to using value_clause.
Column VALUE is created as VARCHAR2(4000).
If clause value_clause consists only of the keyword VALUE, then the value index is created with the usual default attributes.
If clause path_id_clause consists only of the keywords PATH ID, then the path-id index is created with the usual default attributes.
If clause order_key_clause consists only of the keywords ORDER KEY, then the order-key index is created with the usual default attributes.
The following considerations apply to using the ASYNC clause.
Use this feature only with an XMLIndex index that has only an unstructured component. If you specify an ASYNC clause for an XMLIndex index that has a structured component, then an error is raised.
ALWAYS means automatic synchronization occurs for each DML statement.
MANUAL means no automatic synchronization occurs. You must manually synchronize the index using DBMS_XMLINDEX.SyncIndex.
EVERY repeat_interval means automatically synchronize the index at interval repeat_interval. The syntax of repeat_interval is the same as that for PL/SQL package DBMS_SCHEDULER, and it must be enclosed in double-quotes ("). To use EVERY you must have the CREATE JOB privilege.
ON COMMIT means synchronize the index immediately after a commit operation. The commit does not return until the synchronization is complete. Since the synchronization is performed as a separate transaction, there can be a short period when the data is committed but index changes are not yet committed.
STALE is optional. A value of TRUE means that query results might be stale; a value of FALSE means that query results are always up-to-date. The default value, and the only permitted explicitly specified value, is as follows.
For ALWAYS, STALE is TRUE.
For any other ASYNC option besides ALWAYS, STALE is FALSE.
Clause groups_clause is used only with CREATE INDEX; clause alter_index_group_clause is used only with ALTER INDEX.
The following considerations apply to using XMLIndex_xmltable_clause.
The XQuery_string expression in XMLIndex_xmltable_clause must not use the XQuery functions ora:view, fn:doc, or fn:collection.
Oracle XML DB raises an error if a given XMLIndex_xmltable_clause contains more than one column_clause of data type XMLType. To achieve the effect of defining two such virtual columns, you must instead add a separate group_clause.
The PASSING clause in XMLIndex_xmltable_clause is optional. If not present, then an XMLType column is passed implicitly, as follows:
For the first XMLIndex_xmltable_clause in a parameters clause, the XMLType column being indexed is passed implicitly. (When indexing an XMLType table, pseudocolumn OBJECT_VALUE is passed.)
For each subsequent XMLIndex_xmltable_clause, the VIRTUAL XMLType column of the preceding XMLIndex_xmltable_clause is passed implicitly.
When you use multilevel chaining of XMLTable in an XMLIndex index, the XMLTable table at one level corresponds to an XMLType column at the previous level. The syntax description shows keyword VIRTUAL as optional. In fact, it is used only for such an XMLType column, in which case it is required. It is an error to use it for a non-XMLType column. VIRTUAL specifies that the XMLType column itself is not materialized, meaning that its data is stored in the index only in the form of the relational columns specifed by its corresponding XMLTable table.
You can create an Oracle Text index on an XMLType column. An Oracle Text CONTEXT index enables Oracle SQL function contains for full-text search over XML. With structured storage, XPath rewrite can often rewrite XPath function ora:contains to SQL function contains, so in those cases too an Oracle Text index can be employed.
See Also:
Chapter 12, "Full-Text Search Over XML Data" for more information about using Oracle Text operations with Oracle XML DB
Example 6-25, "Oracle Text CONTEXT Index on an XMLIndex Index Content Table"
To create an Oracle Text index, use CREATE INDEX, specifying the INDEXTYPE as CTXSYS.CONTEXT, as illustrated in Example 6-43.
Example 6-43 Creating an Oracle Text Index
CREATE INDEX po_otext_ix ON po_clob (OBJECT_VALUE) INDEXTYPE IS CTXSYS.CONTEXT;
You can also perform Oracle Text operations such as contains and score on XMLType columns. Example 6-44 shows an Oracle Text search using Oracle SQL function contains.
Example 6-44 Searching XML Data using SQL Function CONTAINS
SELECT DISTINCT XMLCast(XMLQuery('$p/PurchaseOrder/ShippingInstructions/address'
PASSING po.OBJECT_VALUE AS "p" RETURNING CONTENT)
AS VARCHAR2(256)) "Address"
FROM po_clob po
WHERE contains(po.OBJECT_VALUE,
'$(Fortieth) INPATH (PurchaseOrder/ShippingInstructions/address)') > 0;
Address
------------------------------
1200 East Forty Seventh Avenue
New York
NY
10024
USA
1 row selected.
The execution plan for this query shows two ways that the Oracle Text CONTEXT index is used:
It references the index explicitly, as a domain index.
It refers to Oracle SQL function contains in the predicate information.
PLAN_TABLE_OUTPUT -------------------------------------------------------------------------------------------- Plan hash value: 274475732 -------------------------------------------------------------------------------------------- | Id | Operation | Name | Rows | Bytes | Cost (%CPU)| Time | -------------------------------------------------------------------------------------------- | 0 | SELECT STATEMENT | | 7 | 14098 | 10 (10)| 00:00:01 | | 1 | HASH UNIQUE | | 7 | 14098 | 10 (10)| 00:00:01 | | 2 | TABLE ACCESS BY INDEX ROWID| PO_CLOB | 7 | 14098 | 9 (0)| 00:00:01 | |* 3 | DOMAIN INDEX | PO_OTEXT_IX | | | 4 (0)| 00:00:01 | -------------------------------------------------------------------------------------------- Predicate Information (identified by operation id): --------------------------------------------------- 3 - access("CTXSYS"."CONTAINS"(SYS_MAKEXML('2B0A2483AB140B35E040578C8A173FEC',523 3,"XMLDATA"),'$(Fortieth) INPATH (PurchaseOrder/ShippingInstructions/address)')>0) 20 rows selected.
Oracle Text indexing is completely orthogonal to the other types of indexing described in this chapter. Whenever Oracle SQL function contains or XPath function ora:contains is used, an Oracle Text index can be used for full-text search.
Example 6-45 demonstrates this in the case where both an XMLIndex index and an Oracle Text index are defined on the same XML data. The query is the same as in Example 6-44. The Oracle Text index is created on the VALUE column of the XMLIndex path table of Example 6-11.
Example 6-45 Using an Oracle Text Index and an XMLIndex Index
CREATE INDEX po_otext_ix ON my_path_table (VALUE) INDEXTYPE IS CTXSYS.CONTEXT; EXPLAIN PLAN FOR SELECT DISTINCT XMLCast(XMLQuery('$p/PurchaseOrder/ShippingInstructions/address' PASSING po.OBJECT_VALUE AS "p" RETURNING CONTENT) AS VARCHAR2(256)) "Address" FROM po_clob po WHERE contains(po.OBJECT_VALUE, '$(Fortieth) INPATH (PurchaseOrder/ShippingInstructions/address)') > 0; ------------------------------------------------------------------------------------------------------------- | Id | Operation | Name | Rows | Bytes | Cost (%CPU)| Time | ------------------------------------------------------------------------------------------------------------- | 0 | SELECT STATEMENT | | 7 | 14098 | 3 (34)| 00:00:01 | | 1 | SORT GROUP BY | | 1 | 3524 | | | |* 2 | TABLE ACCESS BY INDEX ROWID| MY_PATH_TABLE | 2 | 7048 | 3 (0)| 00:00:01 | |* 3 | INDEX RANGE SCAN | SYS67616_PO_XMLINDE_PIKEY_IX | 1 | | 2 (0)| 00:00:01 | | 4 | HASH UNIQUE | | 7 | 14098 | 3 (34)| 00:00:01 | |* 5 | TABLE ACCESS FULL | PO_CLOB | 7 | 14098 | 2 (0)| 00:00:01 | ------------------------------------------------------------------------------------------------------------- Predicate Information (identified by operation id): --------------------------------------------------- 2 - filter(SYS_XMLI_LOC_ISNODE("SYS_P0"."LOCATOR")=1) 3 - access("SYS_P0"."RID"=:B1 AND "SYS_P0"."PATHID"=HEXTORAW('6F7F') ) 5 - filter("CTXSYS"."CONTAINS"(SYS_MAKEXML("SYS_ALIAS_1"."XMLDATA"),'$(Fortieth) INPATH (PurchaseOrder/ShippingInstructions/address)')>0) Note ----- - dynamic sampling used for this statement (level=2) 24 rows selected.
The execution plan in Example 6-45 references both the XMLIndex index and the Oracle Text index, indicating that both are used.
The XMLIndex index is indicated by its path table, MY_PATH_TABLE, and its order-key index, SYS78942_PO_XMLINDE_ORDKEY_IX.
The Oracle Text index is indicated by the reference to Oracle SQL function contains in the predicate information.
Footnote Legend
Footnote 1: In this book, "structured" and "unstructured" generally refer toXMLType storage options; they refer less often to the nature of your data. "Hybrid" refers to object-relational storage with some embedded CLOB storage. "Semi-structured" refers to XML content, regardless of storage. Unstructured storage is CLOB-based storage, and structured storage is object-relational storage.